Տնային աշխատանք 57, 59

ա) 10a
գ․-10
բ) 15a2b
գ․-15
գ) 127b3c4
գ․-127
դ) a
գ․-1
ե) ce
գ․- -1
զ) (-8) e4k7
գ․- (-8)
է) (-16) k2p
գ․-(-16)
ը) 20p2x5
գ․-20
թ) –x3y2
գ․-1
ժ) ½ ac
գ․-1/2

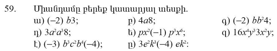
ա) (-2) b3=-6b
բ) 4a8=32a
գ) (-2) bb24=-8b3
դ) 3a2a38=24a5
ե) px2(-1) p3x6=-1p4x8
զ) 16x4y33x2y=48x6y4
է) (-3) b3c2b4(-4)=12b7c2
ը) 3e2k3(-4) ek2 3*-4=-12e3k5