82-84

ա) 2a+5b+7a=9a+5b
բ) 2x+3y+10x=12x+3y
գ) 7a+b+3a+b=10a+2b
դ) a+7b+b+2a=3a+8b
ե) 2x+y+3x+y+4x=9x+2y
զ) a+2x+5x+2a+9x=3a+16x

ա) 12a+5b-4a=8a+5b
բ) 19x-24y+x=20x+24y
գ) 17x-4y+5x+4y=22x+8y
դ) 5a-2y+4a+2y=9a+4y
ե) 40x+15y-40x-16y=(-1x)
զ) 9a-3b+5a-7b-8a=6a+(-10b)
է) 2b-6y+b+5y-3b=(-1y)
ը) a+2x+a-13x-2a=(-11x)

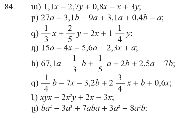
ա) 1,1x-2,7y+0,8x-x+3y=0,9x+0,3y
բ) 27a-3,1b+9a+3,1a+0,4b-a=38,1a+2,7b
գ) 1/3x+2/5y-2x+1 1/4y=(-5/3x)+33/20
դ) 15a-4x-5,6a+2,3x+a=10,4a+(-1,7x)
ե) 67,1a-1/3b+1/5a+2b+2/5a-7b=69,8a-16/3b
զ) 1/4b-7x-3,2b+2 3/4x+b+0,6x=-1,95b+(-136/40)
է) xyx-2x2y+2x-3x=x(yx-2xy-x) ը) ba2-3a3+7aba+3a2-8a2b=a2(-3a+3)