Առաջադրանքներ՝ 135 – 145

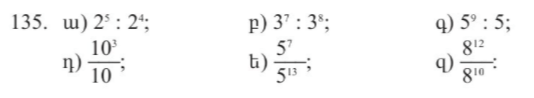
ա) 25:24=21
բ) 37:38=3-1
գ) 59:5=58
դ) 103/10=102
ե) 57/513=5-6
զ) 812/810=82

ա) a7:a3=a4
բ) a8:a12=a-4
գ) a6:a=a5
դ) a12/a4=a8
ե) a20/a22=a-2
զ) a20/a=a19

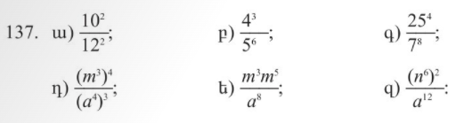
ա) 102/122=(10/12)2
բ) 43/56=43/(52)3=(4/25)3
գ) 254/78=254/(72)4=(25/49)4
դ)
ե)
զ)