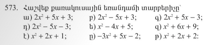
Առաջադրանքներ դասագրքից՝ 571 – 573

ա) 3x2 + 4x + 5
a = 3, b = 4, c = 5
բ) 2x2 — 5x — 7
a = 2, b = -5, c = -7
գ) -5x2 + 3x — 1
a = -5, b = 3, c = -1
դ) 6x2 + x — 2
a = 6, b = 1, c = -2
ե) x2 — x + 7
a = 1, b = -1, c = 7
զ) -x2 + x + 1
a = -1, b = 1, c = 1

ա) a = 3, b = 4, c = 5
3x2 + 4x + 5
բ) a = 3, b = -2, c = 6
3x2 — 2x + 6
գ) a = 1, b = -1, c = 2
x2 — x + 2
դ) a = -1, b = 3, c = -2
-x2 + 3x — 2

ա) 2x2 + 5x + 3
D = 25 — 8 * 3 = 1
բ) 2x2 — 5x + 3
D = 25 — 8 * 3 = 1
գ) 2x2 + 5x — 3
D = 25 — 8 * (-3) = 25 — (-24) = 49
դ) 2x2 — 5x — 3
D = 25 + 8 * (-3) = 25 — 24 = 1
ե) x2 — 4x + 5
D = 16 — 4 * 5 = 16 — (-20) = 36
զ) x2 + 6x + 9
D = 36 + 4 * 9 = 36 — 36 = 72
է) x2 + 2x + 1
D = 4 — 4 * 1 = 4 — (-4) = 8
ը) -3x2 + 5x — 2
D = 25 + 12 * (-2) = 25 — 24 = 1
թ) x2 + 2x + 2
D = 4 — 4 + 2 = 4 — (-2) = 6