Հանրահաշիվ Դասարանական և Տնային աշխատանքներ 13.12.2022

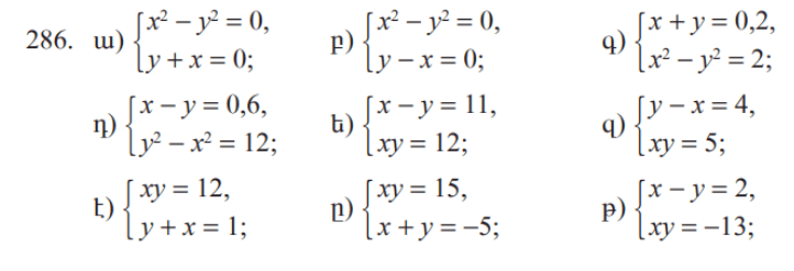
ա) { x2 — y2 = 0 => { x2 — (-x)2 = 0 => { 0 = 0
{ y + x = 0 …………{ y = -x …………….{ y = -x

Պատ.` (x; -x)

բ) { x2 — y2 = 0 => { x2 — x2 = 0 => { 0 = 0
{ y — x = 0 …………{ y = x ………….{ y = x

Պատ.` (x; x)

գ) { x + y = 0,2 => { x = 0,2 — y ……….=> { x = 0,2 — y => { x = 5,1
{ x2 — y2 = 2 ……….{ (0,2 — y)2 — y2 = 2 …..{ y = -4,9 ……….{ y = -4,9

Պատ.` (5,1; -4,9)

դ) { x — y = 0,6 => { x = 0,6 + y …..=> { x = 0,6 + y ………………….=> { x = 0,6 + y ……….=>
{ y2 — x2 = 12………{ y2 — (0,6 + y)2 ……{ y2 — 0,36 — 1,2y — y2 = 12 ……{ -1,2y = 12 + 0,36

=> { x = 0,6 + y ………..=> { x = 0,6 + y ……=> { x = 0,6 + y => { x = 0,6 — 10,3 => { x = -9,7
…..{ -1,2y = 12 + 0,36 ……{ -1,2y = 12,36 …….{ y = -10,3 ……..{ y = -10,3 …………{ y = -10,3

Պատ.` (-9,7; -10,3)

Հանրահաշիվ դասարանական և Տնային աշխատանքներ 09․12․2022

Բ)

{x + y = 7 = > {x = 7 — y = > {x = 7 — y = > {x = 7 — y (1)
{xy = 12 = > {(7 * y) * y = 12 = > {7y — y2 = 12 = > {-y2 + 7y — 12 = 0

-y2 + 7y — 12 = 0

D = -b — 4ac = 49 — 4 * 1 *(-12) = 1

[y = -7 — 1/-2 = 4 => {[x = 7 — y [{x = 7 — y [{x = 3
[y = -7 + 1/-2 = 3 => {[y = 4 = > [{y = 4 [{y = 4
{[y = 3 [{y = 3 = > [{x = 4
[{x = 7 — y [{y = 3
[{y = 3

Պատ․` (3;4)(4;3)

Գ)

{x + y = 3 = > {x = 3 — y = > {x = 3 — y = > {x = 3 — y (1)
{xy = -28 = > {(3 — y) * y = -28 = > {3y — y2 = -28 = > {3y — y2 +28 = 0

3y — y2 +28 = 0

D = -b — 4ac = 9 — 4 * (-1) * 28 = 121

[y = -3 — 11/-2 = 7 => {[x = 3 — y [{x = 3 — y [{x = -4
[y = -3 + 11/-2 = -4 => {[y = 7 = > [{y = 7 [{y = 7
{[y = -4 [{x = 3-y = > [{x = 7
[{y = -4 [{y = -4

Պատ․՝ (-4;7)(7;-4)

Հանրահաշիվ Դասարանական և Տնային աշխատանքներ 06.12.2022

ա) (-2)2; (-2)2; (-2)4; (-2)5

4; 4; 16; -32

բ) -34; (-7)2; 010; (-1)5; -13

-81; 49; 0; -1; -1

գ) (-1)11— (-1)11

-1 + 1 = 0

դ) (-1)4 — (-1)3 — (-1)2

1 — (-1) + 1 = 3

ե) (-2)5 — (-3)3

-32 — (-27) = -5

զ) (-1)2 + (-1)3 + (-1)4

1 + (-1) + 1 = 1

ա) 3 * (-2)2 = 12

բ) -4 * (-3)3 = 108

գ) -(-3)3 = 27

դ) -(-2)3 = 8

ե) -(-0,3)2 = — 0,09

զ) -(-0,5)3 = 0,125

է) (-32)3 = 729

ը) (-1)1999 = -1

թ) (-1)k + (-1)k+1 = -1 + 1 = 0
k = 1

ա) 24/36 = 2/3

բ) 108/252 = 9/21 = 3/7

գ) 144/216 = 12/18 = 2/3

դ) 1800/4500 = 2/5

ա) 6/9 = */3 = 2/3

բ) 28/40 = */10 = 7/10

գ) 12/32 = 3/* = 3/8

դ) 15/75 = 1/* = 1/5

ե) 64/36 = 1 7/* = 1 7/9

ա) 2, -2
բ) 1/5, -1/5
գ) 2 1/3 = -2 1/3
դ) 1.3, 1.3

ա) 7/8 > 5/8
բ) 1 1/7 = 8/7
գ) 1/2 > 1/3
դ) 3/5 < 3/4
ե) 1 2/3 > 3/4
զ) 10/7 < 1 3/6

ա) 1/2 + 1/2 = 1
բ) 1/7 + 5/7 = 6/7
գ) 3/5 + 4/5 = 7/5
դ) 1 1/3 + 2/3 = 2
ե) 2 7/9 + 4/9 = 29/9
զ) 3 2/5 + 12 4/5 = 81/5

ա) 9/11 — 8/11 = 1/11
բ) 6/7 — 2/7 = 4/7
գ) 1 — 1/9 = 8/9
դ) 12 — 1/3 = 35/3
ե) 127 — 2/5 = 633/5
զ) 193 — 4/9 = 1733/9
է) 13 3/4 — 1/2 = 53/4
ը) 13 1/2 — 1/3 = 79/6
թ) 15 4/5 — 8 2/5 = 37/5
ժ) 20 3/8 — 16 1/4 = 33/8
ի) 3 1/6 — 1/3 = 17/6
լ) 2 1/3 — 1/2 = 11/6
խ) 10 1/5 — 2/5 = 49/56
ծ) 3/7 — 4/5 = -13/35
կ) 3 1/2 — 2 2/3 = 5/6

ա) 1/2 * 1/3 = 1/6
բ) 2/6 * 6/7 = 3/7
գ) 7/8 * 24/49 = 3/7
դ) 100/121 * 55/144 = 125/396
ե) 3/8 * 2 = 3/4
զ) 4/5 * 6 = 24/5
է) 3 * 1 1/8 = 27/8
ը) 0 * 1/4 = 0
թ) 4 * 2 1/12 = 25/3

ա) 4 2/3 * 9/14 = 12/7
բ) 2 1/3 * 1/14 = 1/21
գ) 2/3 * 1 1/8 = 11/12
դ) 5 2/3 * 9/34 = 3/2
ե) 4/7 * 3 1/16 = 7/4
զ) 1 1/2 * 2 2/3 = 4
է) 2 1/7 * 1 13/15 = 4
ը) 10 1/2 * 1 1/2 = 63/4

ա) 1/2 : 1/3 = 3/2
բ) 2/5 : 15/18 = 12/25
գ) 14/15 : 18/25 = 35/27
դ) 3/7 : 63/84 = 4/7
ե) 2/3 : 2 = 1/3
զ) 6/7 : 3 = 2/7
է) 10 : 5/10 = 20
ը) 9/3 : 13 = 3/13
թ) 1 1/2 : 8 = 3/16
ժ) 10 : 2 1/2 = 4
ի) 3 2/5 : 34 = 1/10
լ) 18 : 7 1/5 = 5/2

ա) (4 2/8 + 5 1/2) * 6
4 2/8 + 5 1/2 = 39/4
39/4 * 6 = 117/2

բ) (4 — 1 1/3 * 2) * 1/2
4 — 1 1/3 * 2 = 4/3
4/3 * 1/2 = 2/3

Հանրահաշիվ Դասարանական և Տնային աշխատանքներ 29.11.2022

ա) x3 — x2 — x — 2 ………….1, -1, 2, -2

13 — 12 — 1 — 2 ≠ 0…………x — 1

-13 — (-1)2 — (-1) — 2 ≠ 0………..x + 1

8 — 4 — 2 — 2 = 0…………..x — 2

_ x3 — x2 — x — 2 | x — 2
x3 — 2x2………| x2 + x + 1
⎺⎺⎺⎺⎺⎺⎺⎺⎺⎺⎺⎺
……._ x2 — x — 2
……….x2 — 2x
……..⎺⎺⎺⎺⎺⎺⎺⎺⎺⎺
………….._ x — 2
……………..x — 2
……………⎺⎺⎺⎺⎺⎺
…………………0

x3 — x2 — x — 2 = (x — 2)(x2 + x + 1)

բ) x3 — 4x2 + 4x — 3 ………….1, -1, 3, -3

13 — (4 * 12) + (4 * 1) — 3 ≠ 0…………x — 1

33 — (4 * 32) + (4 * 3) — 3 = 0………..x — 3

_ x3 — 4x2 + 4x — 3 | x — 3
x3 — 3x2…………..| x2 — x + 1
⎺⎺⎺⎺⎺⎺⎺⎺⎺⎺⎺⎺
……_ — x2 4x — 3
………— x2 + 3x
……..⎺⎺⎺⎺⎺⎺⎺⎺⎺⎺
………….._ x — 3
……………..x — 3
……………⎺⎺⎺⎺⎺⎺
…………………0

x3 — 4x2 + 4x — 3 = (x — 3)(x2 — x + 1)

գ) x3 — 7x + 6 ………….1, -1, 2, -2, 3, -3, 6, -6

13 — (7 * 1) + 6 = 0…………x — 1

_ x3 — 7x + 6 | x — 1
x3 — x2……..| x2 + x — 6
⎺⎺⎺⎺⎺⎺⎺⎺⎺⎺⎺⎺
….._ x2 — 7x + 6
……..x2 — x
……..⎺⎺⎺⎺⎺⎺⎺⎺⎺⎺
………_ — 6x + 6
…………— 6x + 6
…………..⎺⎺⎺⎺⎺⎺
…………………0

x3 — 7x + 6 = (x — 1)(x2 + x — 6)

դ) x3 — 6x — 9 ………….1, -1, 3, -3, 9, -9

13 — (6 * 1) — 9 ≠ 0…………x — 1

33 — (6 * 3) — 9 = 0………..x — 3

_ x3 — 6x — 9 | x — 3
x3 — 3x2…..| x2 + 3x + 3
⎺⎺⎺⎺⎺⎺⎺⎺⎺⎺⎺⎺
….._ 3x2 — 6x — 9
……..3x2 — 9x
……..⎺⎺⎺⎺⎺⎺⎺⎺⎺⎺
…………._ 3x — 9
…………….3x — 9
……………⎺⎺⎺⎺⎺⎺
…………………0

x3 — 6x — 9 = (x — 3)(x2 + 3x + 3)

ե) x4 + 2x3 — 3x2 — 4x + 4 ………….1, -1, 2, -2, 4, -4

14 + (2 * 13) — (3 * 12) — (4 * 1) + 4 = 0…………x — 1

_ x4 + 2x3 — 3x2 — 4x + 4 | x — 1
x4 — x3…………………….| x3 + 3x2 — 4
⎺⎺⎺⎺⎺⎺⎺⎺⎺⎺⎺⎺
……._ 3x3 — 3x2 — 4x + 4
……….3x3 — 3x2
……..⎺⎺⎺⎺⎺⎺⎺⎺⎺⎺
…………………_ — 4x + 4
……………………— 4x + 4
…………………….⎺⎺⎺⎺⎺⎺
…………………………..0

x4 + 2x3 — 3x2 — 4x + 4 = (x — 1)(x3 + 3x2 — 4)

զ) x4 — 2x3 — 3x2 + 4x + 4 ………….1, -1, 2, -2, 4, -4

14 — (2 * 13) — (3 * 12) + (4 * 1) + 4 ≠ 0…………x — 1

14 — (2 * (-13)) — (3 * (-12)) + (4 * (-1)) + 4 ≠ 0………..x + 1

24 — (2 * 23) — (3 * 22) + (4 * 2) + 4 ≠ 0…………..x — 2

_ x4 — 2x3 — 3x2 + 4x + 4 | x — 2
x4 — 2x3…………………..| x3 — 3x — 2
⎺⎺⎺⎺⎺⎺⎺⎺⎺⎺⎺⎺
……….._ — 3x2 + 4x + 4
…………..— 3x2 + 6x
…………..⎺⎺⎺⎺⎺⎺⎺⎺⎺⎺
……………….._ — 2x + 4
…………………..— 2x + 4
……………………⎺⎺⎺⎺⎺⎺
…………………………0

x4 — 2x3 — 3x2 + 4x + 4 = (x — 2)(x3 — 3x — 2)

Հանրահաշիվ Դասարանական և Տնային աշխատանքներ 22.11.2022

ա) x12 — 1 = (x4 — 1) * A

_ x12 — 1….| x4 — 1
x12 + x8..| x8 + x4 + 1
⎺⎺⎺⎺⎺⎺⎺⎺⎺⎺⎺⎺
………_ x8 — 1
…………x8 — x4
…………..⎺⎺⎺⎺⎺⎺⎺⎺⎺⎺⎺
……………._ x4 — 1
……………….x4 — 1
………………..⎺⎺⎺⎺⎺⎺⎺⎺⎺
…………………………..0

x12 — 1 = (x4 — 1)( x8 + x4 + 1)

A = x8 + x4 + 1

բ) x12 — 1 = (x2 + 1) * A

_ x12 — 1….| x2 + 1
x12 + x10.| x10 — x6 + x6 — x4 + x2 + 1
⎺⎺⎺⎺⎺⎺⎺⎺⎺⎺⎺⎺
……._ — x10 — 1
……….— x10 — x8
……….⎺⎺⎺⎺⎺⎺⎺⎺⎺⎺⎺
……………._ x8 — 1
……………….x8 + x6
……………..⎺⎺⎺⎺⎺⎺⎺⎺⎺
………………….._ — x6 — 1
……………………..— x6 — x4
…………………….⎺⎺⎺⎺⎺⎺⎺⎺⎺⎺
………………………….._ x4 — 1
……………………………hx4 + x2
…………………………..⎺⎺⎺⎺⎺⎺⎺⎺⎺⎺
……………………………….._ — x2 — 1
…………………………………..— x2 — 1
………………………………..⎺⎺⎺⎺⎺⎺⎺⎺⎺⎺
…………………………………………..0

x12 — 1 = (x2 + 1)(x10 — x6 + x6 — x4 + x2 + 1)

A = x10 — x6 + x6 — x4 + x2 + 1

գ) x12 — 1 = (x2 — 1) * A

_ x12 — 1….| x2 — 1
x12 — x10.| x10 + x6 + x6 + x4 + x2 + 1
⎺⎺⎺⎺⎺⎺⎺⎺⎺⎺⎺⎺
……._ x10 — 1
……….x10 — x8
……….⎺⎺⎺⎺⎺⎺⎺⎺⎺⎺⎺
……………._ x8 — 1
……………….x8 — x6
……………..⎺⎺⎺⎺⎺⎺⎺⎺⎺
………………….._ x6 — 1
……………………..x6 — x4
…………………….⎺⎺⎺⎺⎺⎺⎺⎺⎺⎺
…………………………_ x4 — 1
……………………………x4 — x2
…………………………..⎺⎺⎺⎺⎺⎺⎺⎺⎺⎺
……………………………….._ x2 — 1
…………………………………..x2 — 1
………………………………..⎺⎺⎺⎺⎺⎺⎺⎺⎺⎺
…………………………………………..0

x12 — 1 = (x2 + 1)(x10 + x6 + x6 + x4 + x2 + 1)

A = x10 + x6 + x6 + x4 + x2 + 1

դ) x12 — 1 = (x + 1) * A

_ x12 — 1….| x + 1
x12 + x11.| x11 — x10 + x9 — x8 + x7 — x6 + x5 — x4 + x3 — x2 + x — 1
⎺⎺⎺⎺⎺⎺⎺⎺⎺⎺⎺⎺
……._ — x11 — 1
……….— x11 — x10
……….⎺⎺⎺⎺⎺⎺⎺⎺⎺⎺⎺
……………._ x10 — 1
……………….x10 + x9
……………..⎺⎺⎺⎺⎺⎺⎺⎺⎺
………………….._ — x9 — 1
……………………..— x9 — x8
…………………….⎺⎺⎺⎺⎺⎺⎺⎺⎺⎺
………………………….._ x8 — 1
……………………………hx8 + x7
…………………………..⎺⎺⎺⎺⎺⎺⎺⎺⎺⎺
……………………………….._ — x7 — 1
…………………………………..— x7 — x6
………………………………..⎺⎺⎺⎺⎺⎺⎺⎺⎺⎺
…………………………………….._ — x7 — 1
……………………………………….— x7 — x6
……………………………………..⎺⎺⎺⎺⎺⎺⎺⎺⎺⎺
……………………………………………._ x6 — 1
……………………………………………….x6 + x5
……………………………………………..⎺⎺⎺⎺⎺⎺⎺⎺⎺⎺
…………………………………………………._ — x5 — 1
…………………………………………………… — x5 — x4
……………………………………………………⎺⎺⎺⎺⎺⎺⎺⎺⎺⎺
…………………………………………………………._ x4 — 1
…………………………………………………………… x4 + x3
…………………………………………………………..⎺⎺⎺⎺⎺⎺⎺⎺⎺⎺
………………………………………………………………._ — x3 — 1
………………………………………………………………… — x3 — x2
…………………………………………………………………⎺⎺⎺⎺⎺⎺⎺⎺⎺⎺
………………………………………………………………………_ x2 — 1
……………………………………………………………………….. x2 + x
……………………………………………………………………….⎺⎺⎺⎺⎺⎺⎺⎺⎺⎺
……………………………………………………………………………_ — x — 1
…………………………………………………………………………….. — x — 1
…………………………………………………………………………….⎺⎺⎺⎺⎺⎺⎺⎺⎺⎺
……………………………………………………………………………………. 0

x12 — 1 = (x + 1)(x11 — x10 + x9 — x8 + x7 — x6 + x5 — x4 + x3 — x2 + x — 1)

A = x11 — x10 + x9 — x8 + x7 — x6 + x5 — x4 + x3 — x2 + x — 1

ե) x12 — 1 = (x — 1) * A

_ x12 — 1 | x -1
x12 — x11 | x11 + x10 + x9 + x8 + x7 + x6 + x5 + x4 + x3 + x2 + x + 1
⎺⎺⎺⎺⎺⎺⎺⎺⎺⎺
……._ x11 — 1
……….x11 — x10
………⎺⎺⎺⎺⎺⎺⎺⎺⎺⎺
……………_ x10 — 1
………………x10 — x9
……………..⎺⎺⎺⎺⎺⎺⎺⎺⎺⎺
…………………._ x9 — 1
…………………….x9 — x8
…………………..⎺⎺⎺⎺⎺⎺⎺⎺⎺⎺
………………………._ x8 — 1
………………………….x8 — x7
………………………..⎺⎺⎺⎺⎺⎺⎺⎺⎺⎺
……………………………_ x7 — 1
………………………………x7 — x6
…………………………….⎺⎺⎺⎺⎺⎺⎺⎺⎺⎺
…………………………………_ x6 — 1
……………………………………x6 — x5
………………………………….⎺⎺⎺⎺⎺⎺⎺⎺⎺⎺
…………………………………….._ x5 — 1
……………………………………….x5 — x4
……………………………………..⎺⎺⎺⎺⎺⎺⎺⎺⎺⎺
…………………………………………._ x4 — 1
…………………………………………….x4 — x3
…………………………………………..⎺⎺⎺⎺⎺⎺⎺⎺⎺⎺
………………………………………………._ x3 — 1
………………………………………………….x3 — x2
…………………………………………………⎺⎺⎺⎺⎺⎺⎺⎺⎺⎺
……………………………………………………._ x2 — 1
……………………………………………………….x2 — x
………………………………………………………⎺⎺⎺⎺⎺⎺⎺⎺⎺⎺
…………………………………………………………._ x — 1
…………………………………………………………….x — 1
………………………………………………………….⎺⎺⎺⎺⎺⎺⎺⎺⎺⎺
………………………………………………………………..0

x12 — 1 = (x — 1) (x11 + x10 + x9 + x8 + x7 + x6 + x5 + x4 + x3 + x2 + x + 1)

A = x11 + x10 + x9 + x8 + x7 + x6 + x5 + x4 + x3 + x2 + x + 1

զ) x5 — 32 = (x — 2) * A

_ x5 — 32 .| x — 2
x5 — 2x4 | x4 + 2x3 + 4x2 + 8x + 16
⎺⎺⎺⎺⎺⎺⎺⎺⎺⎺
……_ 2x4 — 32
………2x4 — 4x3
……..⎺⎺⎺⎺⎺⎺⎺⎺⎺⎺
………….._ 4x3 — 32
……………..4x3 — 8x2
……………⎺⎺⎺⎺⎺⎺⎺⎺⎺⎺
…………………._ 8x2 — 32
…………………….8x2 — 16x
…………………..⎺⎺⎺⎺⎺⎺⎺⎺⎺⎺
…………………………._ 16x — 32
……………………………..16x — 32
…………………………….⎺⎺⎺⎺⎺⎺⎺⎺⎺⎺
……………………………………..0

x5 — 32 = (x — 2) (x4 + 2x3 + 4x2 + 8x + 16)

A = x4 + 2x3 + 4x2 + 8x + 16

է) x6 — 64 = (x — 2) * A

_ x6 — 64 .| x — 2
x6 — 2x5 | x5 + 2x4 + 4x3 + 8x2 + 16x + 32
⎺⎺⎺⎺⎺⎺⎺⎺⎺⎺
……_ 2x5 — 64
………2x5 — 4x4
……..⎺⎺⎺⎺⎺⎺⎺⎺⎺⎺
………….._ 4x4 — 64
……………..4x4 — 8x3
……………⎺⎺⎺⎺⎺⎺⎺⎺⎺⎺
…………………._ 8x3 — 64
…………………….8x3 — 16x2
…………………..⎺⎺⎺⎺⎺⎺⎺⎺⎺⎺
…………………………._ 16x2 — 64
……………………………..16x2 — 32x
…………………………….⎺⎺⎺⎺⎺⎺⎺⎺⎺⎺
………………………………….._ 32x — 64
……………………………………..32x — 64
……………………,………………⎺⎺⎺⎺⎺⎺⎺⎺⎺⎺
………………………………………………0

x6 — 64 = (x — 2) (x5 + 2x4 + 4x3 + 8x2 + 16x + 32)

A = x5 + 2x4 + 4x3 + 8x2 + 16x + 32

ը) x7 — 128 = (x — 2) * A

_ x7 — 128 .| x — 2
x7 — 2x6 | x6 + 2x5 + 4x4 + 8x3 + 16x2 + 32x + 64
⎺⎺⎺⎺⎺⎺⎺⎺⎺⎺
……_ 2x6 — 128
………2x6 — 4x5
……..⎺⎺⎺⎺⎺⎺⎺⎺⎺⎺
………….._ 4x5 — 128
……………..4x5 — 8x4
……………⎺⎺⎺⎺⎺⎺⎺⎺⎺⎺
…………………._ 8x4 — 128
…………………….8x4 — 16x3
…………………..⎺⎺⎺⎺⎺⎺⎺⎺⎺⎺
…………………………._ 16x3 — 128
……………………………..16x3 — 32x2
…………………………….⎺⎺⎺⎺⎺⎺⎺⎺⎺⎺
………………………………….._ 32x2 — 128
……………………………………..32x2 — 128
……………………,………………⎺⎺⎺⎺⎺⎺⎺⎺⎺⎺
…………………………………………….._ 64x — 128
………………………………………………..64x — 128
……………………,…………………………⎺⎺⎺⎺⎺⎺⎺⎺⎺⎺
……………………………………………………………0

x6 — 64 = (x — 2) (x5 + 2x4 + 4x3 + 8x2 + 16x + 32)

A = x5 + 2x4 + 4x3 + 8x2 + 16x + 32

Հանրահաշիվ Դասարանական և Տնային աշխատանքներ 16.11.2022

ա) _ x3 + 4x2 + x + 6| x + 1
…… x3 + x2…………….| x2 + 3x — 2
⎺⎺⎺⎺⎺⎺⎺⎺⎺⎺⎺⎺
………_ 3x2 + x + 6
…………3x2 + 3x
………..⎺⎺⎺⎺⎺⎺⎺⎺⎺⎺⎺
……………._ — 2x + 6
……………….— 2x — 2
………………⎺⎺⎺⎺⎺⎺⎺⎺⎺
……………………….8

x3 + 4x2 + x + 6 = (x + 1)(x2 + 3x — 2) + 8

ա) _ x3 + 4x2 + x + 6| x — 2
…… x3 — 2x2…………….| x2 + 6x + 13
⎺⎺⎺⎺⎺⎺⎺⎺⎺⎺⎺⎺
………_ 6x2 + x + 6
…………6x2 — 12x
………..⎺⎺⎺⎺⎺⎺⎺⎺⎺⎺⎺
……………._ 13x + 6
……………….13x — 26
………………⎺⎺⎺⎺⎺⎺⎺⎺⎺
……………………….32

x3 + 4x2 + x + 6 = (x -2)(x2 + 6x + 13) + 32

ա) _ x3 + 4x2 + x + 6| x — 3
…… x3 + x2…………….| x2 + 7x + 22
⎺⎺⎺⎺⎺⎺⎺⎺⎺⎺⎺⎺
………_ 7x2 + x + 6
…………7x2 + 21x
………..⎺⎺⎺⎺⎺⎺⎺⎺⎺⎺⎺
……………._ 22x + 6
……………….22x — 66
………………⎺⎺⎺⎺⎺⎺⎺⎺⎺
……………………….72

x3 + 4x2 + x + 6 = (x — 3)(x2 + 7x + 22) + 72

Հանրահաշիվ Դասարանական և Տնային աշխատանքներ 15.11.2022

ա) Համարիչ = (2 + x)

Հայտարար = x

(2 + x) * 2 / x + 3 = 1 2/3

4 + 2x / x + 3 = 5/3

4 + 2x / x + 3 — 5/3 = 0

12 + 6x — 5x — 15 / 3(x + 3) = 0

-3 + x / 3(x + 3) = 0…………Թ.Ա.Բ. 3(x + 3) ≠ 0

-3 + x = 0

x = 3

Պատ.՝ 5/3:

բ) Հայտարար = 2 + x

Համարիչ = x

15 + x / 3 + 2 + x = 1 5/6

15 + x / 5 + x — 11/6 = 0

6(15 + x) — 11(5 + x) / 6(5 + x) = 0

90 + 6x — 55 — 11x / 6(5 + x) = 0

35 — 5x / 6(5 + x) = 0………….Թ.Ա.Բ. 6(5 + x) ≠ 0

35 — 5x = 0

-5x = -35

x = 7 (Համարիչ)

x + 2 = 7 + 2 = 9 (Հայտարար)

Պատ.՝ 7/9:

ա) Համարիչ = x — 1

Հայտարար = x

3(x — 1) / 2x = 1 2/7

3x — 3 / 2x = 9/7

3x — 3 / 2x — 9/7 = 0

7(3x — 3) — 9 * 2x / 14x = 0

21x — 21 — 18x / 14x = 0

3x — 21 / 14x = 0………….Թ.Ա.Բ. 14x ≠ 0

3x — 21 = 0

3x = 21

x = 7 (Հայտարար)

x — 1 = 7 — 1 = 6 (Համարիչ)

Պատ.՝ 6/7:

Հանրահաշիվ Դասարանական և Տնային աշխատանքներ 07.11.2022

ա) x = -2

x + 2 / x = 0……….x + 2 / 8 = 0……. x + 2 / 34 = 0

բ) x = 0

x / 4 = 0……….x / 13 = 0……. x / 106 = 0

գ) x = 3

x — 3 / 6 = 0……….x — 3 / 86 — x = 0……. x — 3 / 50x = 0

դ) x = -2,5

2,5 + x / 5x = 0……….2,5 — x / 7 + x = 0……. 2,5 — x / 17 = 0

ա) x2 + 2x / x — 2 = 0………Թ.Ա.Բ. x — 2 ≠ 0

x2 + 2x = 0

x2 = -2x => [x2 = 0 => [x = 0
………………[-2x = 0

Պատ.՝ 0:

բ) 3x2 — 7x / x2 + 1 = 0………Թ.Ա.Բ. x2 + 1 ≠ 0

3x2 — 7x = 0

3x2 = 7x => [3x2 = 0 => [x = 0
……………….[7x = 0

Պատ.՝ 0:

Հանրահաշիվ Դասարանական և Տնային աշխատանքներ 02.11.2022

ա) x3 + 5x2 + 6x = 0
x(x2 + 5x + 6) = 0 => [x = 0
………………………………[x2 + 5x + 6 = 0

x2 + 5x + 6 = 0
D = b2 — 4ac = 25 — 4 * 1 * 6 = 1

[x1 = -b — √D/2a = — 5 — 1/2 = -3
[x2 = -b + √D/2a = -5 + 1/2 = -2

(1) => [x = 0
……….[x = -3
……….[x = -2

Պատ․՝ 0; -3; -2

բ) x3 — 4x2 + 3x = 0
x(x2 — 4x + 3) = 0 = > [x = 0
……………………………….[x2 — 4x + 3 = 0

x2 — 4x + 3 = 0
D = b2 — 4ac = 16 — 4 * 1 * 3 = 4

[x1 = -b — √D/2a = 4 — 2/2 = 1
[x2 = -b + √D/2a = 4 + 2/2 = 3

(1) => [x = 0
……….[x = 1
……….[x = 3

Պատ․՝ 0; 1; 3

գ) x4 = 2x3 + 3x2 = 0
x4 — 2x3 — 3x2 = 0
x2(x2 + 2x — 3) = 0 = > [x2 = 0………………..=>[x = 0 (1)
………………………………..[x2 — 2x — 3 = 0……..[ x2 — 2x — 3 0

x2 — 2x — 3 = 0
D = b2 — 4ac = 4 — 4 * 1 * (-3) = 16

[x1 = -b — √D/2a = 2 — 4/2 = -1
[x2 = -b + √D/2a = 2 + 4/2 = 3

(1) => [x = 0
……….[x = -1
……….[x = 3

Պատ․՝ 0; -1; 3

դ) 10x2 = x4 + 3x3
x4 + 3x3 — 10x2 = 0
x2(x2 + 3x — 10) = 0 = > [x2 = ………………………=> [x = 0 (1)
………………………………….[x2 + 3x — 10 = 0……….…[x2 + 3x — 10 = 0

x2 — 3x — 10 = 0
D = b2 — 4ac = 9 — 4 * 1 * (-10) = 49

[x1 = -b — √D/2a = -3 — 7/2 = -5
[x2 = -b + √D/2a = -3 + 7/2 = 2

(1) => [x = 0
……….[x = -5
……….[x = 2

Պատ․՝ 0; -5; 2

Հանրահաշիվ Դասարանական և Տնային աշխատանքներ 01․11․2022

224.

ա) (x — 1)(x — 2) = 0 => [x — 1 = 0 => [x = 1
………………………………[x — 2 = 0…….[x = 2

Պատ.՝ 1; 2:

բ) (x — 3)(x + 4) = 0 => [x — 3 = 0 => [x = 3
………………………………[x + 4 = 0……[x = -4

Պատ.՝ 3; -4:

գ) (x — 7)2 = 0

(x — 7)(x — 7) => x — 7 = 0 => x = 7

Պատ.՝ 7:

դ) (x + 4)(x — 6) = 0 => [x + 4 = 0 = > [x = -4
………………………………[x — 6 = 0……..[x = 6

Պատ.՝ -4; 6:

ե) x(x — 2) = 0 => [x = 0 = > [x = 0
………………………[x — 2 = 0[x = 2

Պատ.՝ 0; 2:

զ) (x + 3)x = 0 => [x + 3 = 0 = > [x = -3
………………………..[x = 0………….[x = 0

Պատ.՝ -3; 0:

է) 3x2 = 0 => x2 = 0 => x = 0

Պատ.՝ 0:

ը) -x2(3 + x) = 0 => [-x2 = 0 = > [x = 0
………………………….[3 + x = 0….[x = -3

Պատ.՝ 0; -3:

225.

ա) 2x2 — 3x = 0
x(2x — 3) = 0 => [x = 0……..=> [x = 0 => [x = 0
…………………….[2x — 3 = 0……[2x = 3…..[x = 3/2

Պատ.՝ 0; 3/2:

բ) 7x2 + 5x = 0
x(7x + 5) = 0 => [x = 0……..=> [x = 0 => [x = 0
……………………..[7x + 5 = 0……[7x = -5[x = -5/7

Պատ.՝ 0; -5/7:

գ) x2 + x3 = 0
x2(1 + x) = 0 => [x2 = 0……..=> [x2 = 0 => [x = 0
…………………….[1 + x = 0………[x = -1…..[x = -1

Պատ.՝ 0; -1:

դ) 1 — x3 = 0 => x3 = -1 => x = -1

Պատ.՝ -1: