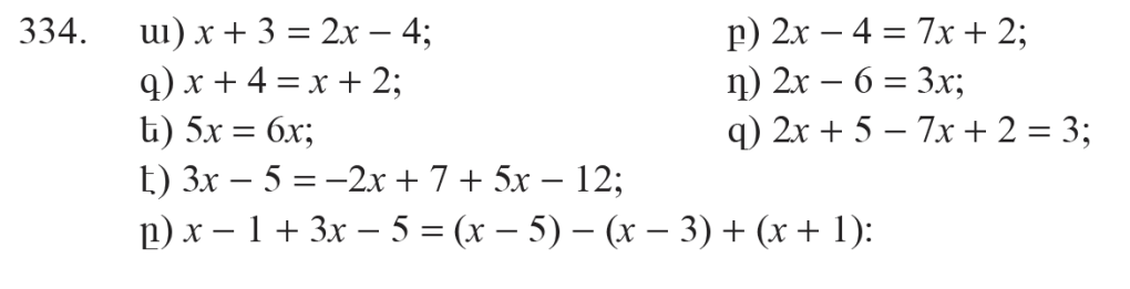
Տանը՝ 333, 334-ի մնացածը


բ) 2-x = x-3
. . . . 3
2-x = 3(x-3)
2-x=3x-9
-x-3x=-2-9
-4x=-11
x=2 3/4
դ) 2x-3 + x+2 = 6+ 2x-3
. . . . 4 . . . . . . 2 . . . . . . . . . .2
2x-3+2x+4 = 12+2x-3
. . . . 4 . . . . . . . . . . . . 2
4x+1 = 2x+9
. . .4 . . . . . . 2
2(4x+1)=4(2x+9)
8x+2=8x+36
8x-8x=36-2
0≠34
Արմատ չունի

բ) 2x-4=7x+2
2x-7x=2+4
-5x=6
x=-6/5
x= -1 1/5
դ) 2x-6=3x
2x-3x=6
-x=6
x=-6
զ) 2x+5-7x+2=3
2x-7x=3-5-2
-5x=-4
x=4/5




























