
ա) (m+n)(m2-mn+n2)=m3 + n3
գ) (a+1)(a2-a+1)=a3+1
ե) (p2-4p+16)(p+4)=p3+16

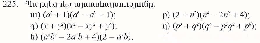
ա) (a3+1)(a6-a3+1)=a9+1
բ) (2+n2)(n4-2n2+4)=8+n6
գ) (x+y2)(x2-xy2+y4)=x3+y6
դ) (p3+q2)(q4-p3q2+p6)=p9+q6
ե) (a4b2-2a2b+4)(2-a2b)=6a4b2-8a2b+8-a6b3

ա) (x−y)(x2+xy+y2)=x3-y3
բ) (5-a)(a2+5a+25)=125-a3
գ) (2m-5n)(4m2+10mn+25n2)=8m3-125n3

ա) (3p-10q)(100q2+30pq+9p2)=27p3-1000q3
բ) (7m+2n)(4n2-14mn+49m2)=343m3+8n3
գ) (ab-3)(a2b2+3ab+9)=a3b3-27
դ) (km-n2)(k2m2+kmn2+n4)=k3m3-n6