5,7,8,9,11-13

ա) a=5, b=4, c= -2
5x+4y-2=0
4y=2
y=0,5
5x+4*0=2
5x=2
x=0,4

բ) a=0, b= -3, c=4
0x-3y+4=0
-3y=-4
y=1,3
0x-0=-4
x=0

գ) a=0, b=2, c= -1
0x+2y-1=0
2y=1
y=0,5
0x+0=1
x=0

դ) a= -5, b= -1, c=0
-5x-1+0=0
-1y=0
y=0
-5x=0
x=0


3x+2y-1=0
2y=1
y=0,5
3x=1
x=0,3


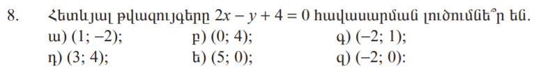
2x-y+4=0
-y=-4
-y=4
2x=-4
x=-2
ա) Ոչ

բ) Այո

գ) Ոչ

դ) Ոչ

ե) Ոչ

զ) Այո


ա) 2x-3y+5=0
-3y=-5
-y=1,6
2x=-5
x=-2,5

Ոչ
բ) -x+y-2=0
y=2
y=2
-x=2
x=-2

Այո
գ) x-y-6=0
-y=6
y=-6
x=6

Ոչ
դ) 7x-3,2y+4=0
-3,2y=-4
y=1,25
7x=-4
x=-0,57

Ոչ
ե) x+2y-7=0
2y=7
y=3,5
x=7
x=7

Այո
զ) 0*x-7y+21=0
-7y=-21
y=3
0*x=-21
x=0

Ոչ

ա) x+y=5
y=5-x
y=4
բ) 2x-y=3
-y=3-2x
-y=1
y=-1
գ) -3x+2y=7
2y=7+3x
2y=10
y=10/2=5
դ) 3x-5y=8
-5y=8-3x
-5y=5
y=5/-5=-1
ե) -3,5x+2y=0,2
2y=0,2+3,5x
2y=3,7
y=3,7/2=1,85
y=1,85
զ) x-0,3y=0,2
-0,3y=0,2-x
0,3y=0,2-1=-0,8
y=-0,8/0,3=-2,6
y=-2,6

ա) 4x-y+3=0
-y=-4x-3
-y=-4-3=-7
y=7
բ) x-3y+6=0
-3y=-x-6
-3y=-1-6
-3y=-7
y=-7/-3=2,3
գ) 3x+y-2=0
y=-3x+2
y=-3+2=-1
դ) 5x-7y-3=0
-7y=-5x+3
-7y=-5+3
-7y=-2
y=-2/-7=0,28
ե) 4x-2y+8=0
-2y=-4x-8
-2y=-4-8
-2y=-12
y=-12/-2=6
զ) 0,5x-2y+0,6=0
-2y=-0,5x-0,6
-2y=-0,5-0,6
-2y=-1,1
y=-1,1/-2=0,55
է) 1/3 x − 0,2y + 1= 0
-0,2y=-1/3x-1
-0,2y= -1/3-1= -1 1/3
y=-1 1/3/-0,2=6,6
ը) x/3 + y/6 − 2 = 0
y/6=-x/3+2
y/6=-1/3+2
y/6=5/3
y=6*5/3=10


ա) x-3y+2=0
x=3y-2
x=3-2
x=1
բ) 3x+2y-5=0
3x=-2y+5
3x=-2+5
3x=3
x=1
գ) -x+2y-3=0
-x=-2y+3
-x=-2+3
-x=1
x=-1
դ) -5x-y+7=0
-5x=y-7
-5x=1-7
-5x=-6
x=-6/-5=1,2
ե) 2x-y+4=0
2x=y-4
2x=1-4
2x=-3
x=-3/2=-1,5
զ) 2x-1/2y-4=0
2x=1/2y+4
2x=1/2+4
2x=4 1/2
x=4 1/2/2=2,25
է) 2x − 0,3y − 1 = 0
2x=0,3y+1
2x=0,3+1
2x=1,3
x=1,3/2=0,65
ը) 5/4 x − 3/2 y + 4 = 0
5/4x=3/2y-4
5/4x=3/2-4
5/4x=-2/5
x=-2/5/5/4= -8/25