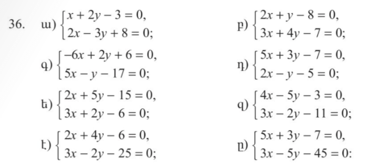
34-38

ա) {x+2y-3=0
x+y+1=0
x-x=0
2y-y=3+1
y=4
x+8-3=0
x=3-8= -5
(-5, 4)
բ) {x-3y+3=0
x+y-1=0
x-x=0
y-(-3y)-1-3=0
4y-4=0
4y=4
y=1
x+1-1=0
x=1-1=0
(0,1)
գ) {4x+y-2=0
3x+y+3=0
y-y=0
3x-4x-3-(-2)=0
-x-5=0
x=5
20+y-2=
y=2-20= -18
(5, -18)
դ) {x-y-7=0
3x-y+1=0
-y-(-y)=0
x-3x-7-1=0
-2x-8=0
-2x=8
x=8/-2= -4
-4-y-7=0
y=7+4=11
(-4,11)

ա) {x+3y-1=0
-x+4y+8=0
x-x=0
3y+4y-1+8=0
7y= 7
y=7/7=1
x+3-1=0
x= -3+1= -2
(-2,1)
բ) {x-2y+3=0
-x+3y-2=0
x-x=0
3y-2y-2+3=0
y=1
x-2+3=0
x= -3+2= -1
(-1,1)
գ) {x-y+2=0
3x+y-4=0
y-y=0
x+3x+2-4=0
4x-2=0
4x=2
x=2/4=1/2=0,5
1,5+y-4=0
y=4-1,5=2,5
(0,5 , 2,5)
դ) {2x+y-3=0
-x-y+4=0
y-y=0
-x+2x+4-3=0
x+1=0
x= -1
-2+y-3=0
y=3+2=5
(-1,5)

ա) {x+2y-3=0
2x-3y+8=0
3x+6y-9=0
4x-6y+16=0
6y-6y=0
3x+4x+16-9=0
7x=7
x=7/7=1
3+6y-9=0
6y=9-3=6
y=6/6=1
(1,1)
բ) {2x+y-8=0
3x+4y-7=0
8x+4y-32=0
3x+4y-7=0
4y-4y=0
8x-3x-32-(-7)=0
5x-25=0
5x=25
x=25/5=5
15+4y-7=0
4y=7-15= -8
y= -8/4= -2
(5,-2)
գ) {-6x+2y+6=0
5x-y-17=0
-6x+2y+6=0
10x-2y-34=0
2y-2y=0
10x-6x-34+6=0
4x-28=0
4x=28
x=28/4=7
70-2y-34=0
-2y=34-70= -36
y= -36/-2=18
(7,18)
դ) {5x+3y-7=0
2x-y-5=0
5x+3y-7=0
6x-3y-15=0
3y-3y=0
6x+5x-15-7=0
11x-22=0
11x=22
x=22/11=2
10+3y-7=0
3y=7-10=-3
y= -3/3= -1
(2,-1)
ե) {2x+5y-15=0
3x+2y-6=0
4x+10y-30=0
15x+10y-30=0
10y-10y=0
15x-4x-30-(-30)=0
11x=0
x=11/0=0
10y-30=0
10y=30
y=30/10=3
(0,3)
զ) {4x-5y-3=0
3x-2y-11=0
8x-10y-6=0
15x-10y-55=0
-10y-(-10y)=0
15x-8x+6-55=0
7x-49=0
7x=49
x=49/7=7
56-10y-6=0
-10y=6-56
-10y= -50
y= -50/-10=5
(7, 5)
է) {2x+4y-6=0
3x-2y-25=0
2x+4y-6=0
6x-4y-50=0
4y-4y=0
6x+2x-50-6=0
8x-56=0
8x=56
x=56/8=7
14+4y-6=0
4y=6-14= -8
y= -8/4= -2
(7,-2)
ը) {5x+3y-7=0
3x-5y-45=0
25x+15y-35=0
9x-15y-135=0
15y-15y=0
9x+25x-135-35=0
34x-170=0
34x=170
x=170/34=5
45-15y-135=0
-15y=135-45=90
y=90/-15= -6
(5,-6)

ա) {4x+5y-2=0
x-3y+8=0
12x+15y-6=0
5x-15y+40=0
15y-15y=0
5x+12x+40-6=0
17x+34=0
17x= -34
x= -34/17= -2
-10-15y+40=0
-15y= -40+10= -30
y= -30/-15=2
(-2,2)
բ) {6x-2y-6=0
5x-y-7=0
6x-2y-6=0
10x-2y-14=0
-2y-(-2y)=0
6x-10x-6-(-14)=0
-4x= -8
x= -8/-4=2
20-2y-14=0
-2y=14-20= -6
y= -6/-2=3
(2,3)
գ) {2x+y-3=0
3x+2y-5=0
4x+2y-6=0
3x+2y-5=0
2y-2y=0
4x-3x-6-(-5)=0
x-1=0
x=1
2+y-3=0
y=3-2=1
(1,1)
դ) {7x-2y+15=0
x-3y-6=0
21x-6y+45=0
2x-6y-12=0
-6y-(-6y)=0
21x-2x+45-(-12)=0
19x+57=0
19x= -57
x= -57/19= -3
-6-6y-12=0
-6y=12+6=18
y=18/-6= -3
(-3,-3)

ա) {7x-y+1=0
2x+y-3=0
y-y=0
7x+2x+1-(-3)=0
9x+4=0
9x= -4
x= -4/9= -0,4
-0,8+y-3=0
y=3+0,8=3,8
(-0,4 , 3,8)
բ) {9x-3y+6=0
4x-y+2=0
9x-3y+6=0
12x-3y+6=0
-3y-(-3y)=0
12x-9x+6+6=0
3x+12=0
3x= -12
x= -12/3= -4
-36-3y+6=0
-3y= -6+36=30
y=30/-3= -10
(-4,-10)