Առաջադրանքներ՝ 153 – 158

ա) 4/8=1/2
բ) 8/12=2/3
գ) 45/210=9/42
դ) 256/924=64/231
ե) 2a/6=a/3
զ) 14a/21ab=2/3b
է) x5/x7=x/x2
ը) 8m3n/12m2=2mn/3
թ) 24a5b6c/36a7b4c=4ab2/6a2b
ժ) 48x3y4z3/56xy5z4=6x2/7yz

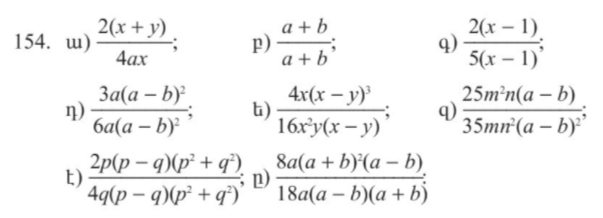
ա) 2(x+y)/4ax=x+y/2ax
բ) a+b/a+b=1
գ) 2(x-1)/5(x-1)=2/5
դ) 3a(a-b)2/6a(a-b)2=1/3
ե) 4x(x-y)3/16x2y(x-y)= (x-y)2/4xy
զ) 25m2n(a-b)/35mn2(a-b)2=5m/7n(a-b)
է) 2p(p-q)(p²+q²)/4q(p-q)(p²+q²)=2p/4q
ը) 8a(a+b)²(a-b)/18a(a-b)(a+b)=4a(a-b)/9a

ա) x-y/y-x= -1
բ) 2(a-b)/3(b-a)=2(a-b)/-3(b-a)= -2/3
գ) 4mn(m-n)/2m(n-m)=4mn(m-n)/-2m(m-n)=2n/-
դ) 6a²b³(a-3)/14ab³(a-3)=3a/7

ա) 2x+2y/4=x+y/2
բ) 3a+3b/6a=a+b/2a
գ) 4m-4n/8mn=m-n/2mn
դ) 12ab/6a-6b=2ab/a-b
ե) 2a-2b/4a+4b=a-b/2a+2b
զ) 6x+6y/3x-3y=2x+2y/x-y

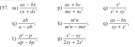
ա) ax-bx/cx+dx=a-b/c+d
բ) ac+bc/mc+nc=a+b/m+n
գ) x²/x²+xy=x/x+y
դ) ab/a-ab=b/-b
ե) m²n/m²n-mn²=mn/mn-n²
զ) ax-bx/xy+x²=a-b/y
է) p²-p/ap-bp=p/a-b
ը) x²-xy/2xy+2x²=x-y/2y+2x

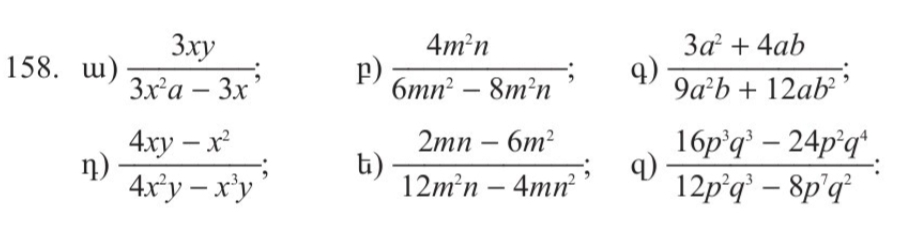
ա) 3xy/3x²a-3x=y/3xa
բ) 4m²n/6mn²-8m²n=2m/3n-4m
գ) 3a²+4ab/9a²b+12ab²=3a+4b/9ab+12b²
դ) 4xy-x²/4x²y-x³y=y-x/xy-x²y
ե) 2mn-6m²/12m²n-4mn²=n-3m/6mn-2n²
զ) 16p³q³-24p²q⁴/12p²q³-8p⁷q²=4pq-6q²/3q-2p⁵