Առաջադրանքներ՝ 164 – 168

ա) x/2 և 1/3
3x/6 և 2/6
բ) x/5 և -3/7
7x/35 և -15/35
գ) 2x/5 և 5/-6
12x/30 և 25/-30
դ) 2/3 և 7x/-4
8/12 և 21x/-12
ե) 5/3x և 7/6
30/18x և 21/18
զ) 11/2x և 3/7
77/14x և 6x/14x
է) 4/x և 3/-x
4/x և 3/-x
ը) 1/5x և 13/-10x
2/10x և 13/-10x
թ) 3/x և x/3
9/3 և 1/3

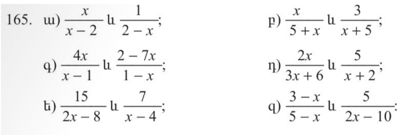
ա) x/x-2 և 1/2-x
x/x-2 և 1/-(x- 2)
բ) x/5+x և 3/x+5
x/5+x և 3/5+x
գ) 4x/x-1 և 2-7x/1-x
4x/-(1-x) և 2-7x/1-x
դ) 2x/3x+6 և 5/x+2
2x/3(x+2) և 5/x+2
ե) 15/2x-8 և 7/x-4
15/2(x-4) և 7/x-4
զ) 3-x/5-x և 5/2x-10
3-x/-(x-5) և 5/2(x-5)

ա) x/3x-x2 և 4/3-x
x/x(3-x) և 4/3-x
x/x(3-x) 4x/x(3-x)
բ) 1/2+x և x-1/x2-4
1/(x+2) և x-1/(x+2)(x-2)
x-2/(x+2)(x-2) և x-1/(x+2)(x-2)
գ) 3/4+6x և 5x/9x+6
3/2(2+3x) և 5x/3(3x+2)
9/6(2+3x) և 5/15(3x+2)
դ) 5x/3-x և 2/x²-9
5x/-(x-3) և 2/(x-3)(x+3)
5x×(x+3) և 2/(x-3)(x+3)

ա) x/4x+x² և 4/3x+12
x/x(x+4) և 4/3(x+4)
3x/3x(4+x) և 4x/3x(x+4)
բ) 13x/25-x² և x-1/10+2x
13x/(5-x)(5+x) և x-1/2(5+x)
13x×2/2(5-x)(5+x) և (x-1)(5-x)/2(5-x)(5+x)
գ) x-3/4-x² և 5x/x²-4
x-3/-(x²-4) և 5x/x²-4
դ) 2/(x-3)² և 1+x/x²-9
2/x²-9 և 1+x/x²-9

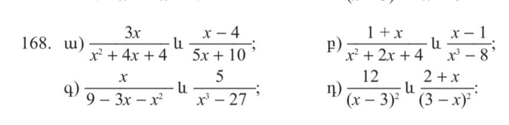
ա) 3x/x²+4x+4 և x-4/5x+10
3x(5x+10)/(x+2)²(5x+10) և (x-4)(x+2)²/(x+2)²(5x+10)
բ) 1+x/x²+2x+4 և x-1/x³-8
(1+x)(x³-8)/(x+2)²(x³-8) և (x-1)(x+2)²/(x+2)²(x³-8)
գ) x/9-3x-x² և 5/x³-27
x×(x³-27)/(9-3x-x²)(x³-27) և 5×(9-3x-x²)/(9-3x-x²)(x³-27)
դ) 12/(x-3)² և 2+x/(3-x)²
12/-(3-x)² և 2+x/(3-x)²