Առաջադրանքներ՝ 171 – 175

ա) x/3+y/3=x+y/3
բ) a/7-b/7=a-b/7
գ) 2x/5-3y/5=2x-3y/5
դ) 5m/4+3n/4=5m+3n/4
ե) x/4+3x/4=x+3x/4=4x/4
զ) 7a/8-3a/8=7a-3a/8=4a/8

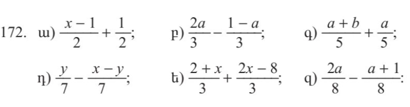
ա) x-1/2+1/2=x/2
բ) 2a/3 — 1-a/3=a-1/3
գ) a+b/5+a/5=2a+b/5
դ) y/7- x-y/7= -x/7
ե) 2+x/3+ 2x-8/3=2+3x-8/3= -6+3x/3
զ) 2a/8 — a+1/8=a+1/8


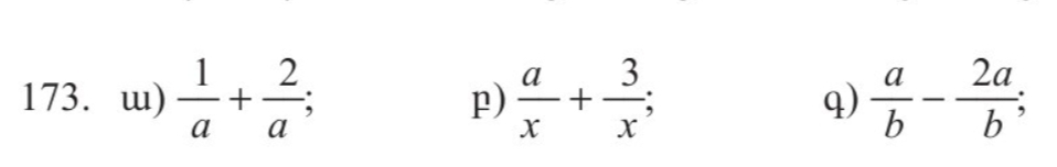
ա) 1/a+2/a=3/a
բ) a/x+3/x=a+3/x
գ) a/b-2a/b= -a/b
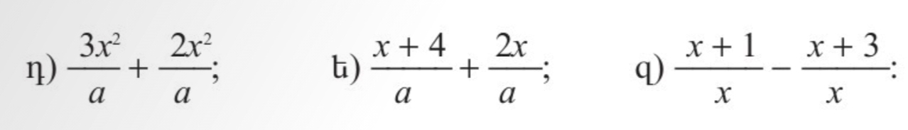
դ) 3x²/a+2x²/a=5x²/a
ե) x+4/a+2x/a=3x+4/a
զ) x+1/x — x+3/x=4/x

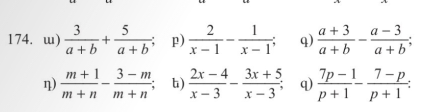
ա) 3/a+b + 5/a+b=8/a+b
բ) 2/x-1 — 1/x-1=1/x-1
գ) a+3/a+b — a-3/a+b=a+3/a+b — (a-3)/a+b=a+3/a+b — a+3/a+b=6/a+b
դ) m+1/m+n — 3-m/m+n= -2/m+n
ե) 2x-4/x-3 — 3x+5/x-3= -x+1/x-3
զ) 7p-1/p+1 — 7-p/p+1=6p-8/p+1

ա) x+1/x-1 + 2x/1-x=x+1/x-1 + 2x/-(x-1)=3x+1/x-1
բ) 1/x-y — 1/y-x=1/x-y — 1/-(x-y)=1/x-y + 1/x-y=2/x-y
գ) 2a/a-b — 3a/b-a=2a/a-b — 3a/-(a-b)=2a/a-b + 3a/a-b=5a/a-b
դ) 4m-1/n-m — m-4/m-n=4m-1/n-m — m-4/-(n-m)=4m-1/n-m + m-4/n-m=5m-5/n-m
ե) 2p+q/p-2q — p+3q/2q-p=2p+q/p-2q — p+3q/-(p-2q)=2p+q/p-2q + p+3q/p-2q=3p+4q/p-2q
զ) 8a+b/1-a — 2a-3b/a-1=8a+b/1-a — 2a-3b/-(a-1)=8a+b/1-a + 2a-3b/1-a=10a-2b/1-a