Առաջադրանքներ՝ 178 – 186

ա) a/3+b/2=2a+3b/6
բ) x/4-y/2=x-2y/4
գ) 2m/3-4/5=10m-12/15
դ) 4m/3+2n/5=20m+6n/15
ե) 3p/4+2p/3=9p+8p/12
զ) a²/4-2a/3=3a²-8a/12
է) 7x²/3+13x²/5=35x²+39x²/15
ը) 6xy/7 — 5xy²/9=54xy-35xy²/63

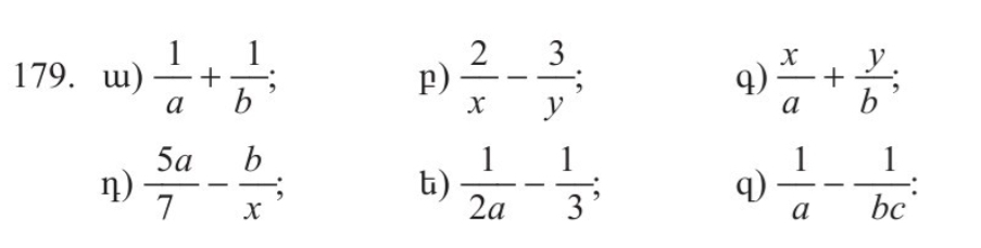
ա) 1/a+1/b=b+a/ab
բ) 2/x — 3/y=2y-3x/xy
գ) x/a+y/b=xb+ya/ab
դ) 5a/7 — b/x=5ax-7b/7x
ե) 1/2a-1/3=3a-2a/6a
զ) 1/a — 1/bc=bc-a/abc


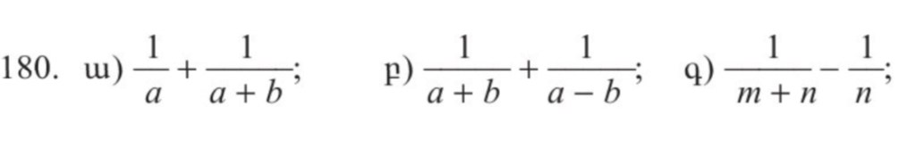
ա) 1/a + 1/a+b=a+b + a/a(a+b)=2a+b/a(a+b)
բ) 1/a+b + 1/a-b=a-b + a+b/a²-b²=2a/a²-b²
գ) 1/m+n — 1/n=n- m+n/n(m+n)= -m+2n/n(m+n)
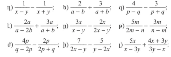
դ) 1/x-y — 1/x+y=x+y — x-y/x²+y²=1/x²+y²
ե) 2/a-b + 3/a+b=2(a+b) + 3(a-b)/a²-b²=2a+2b + 3a-3b/a²-b²=5a-b/a²-b²
զ) 4/p-q — 3/p+q=4(p+q) — 3(p-q)/p²-q²=4p+4q -3p+3q/p²-q²=p+7q/p²-q²
է) 2a/a-2b + 3a/a+b=2a(a+b) + 3a(a-2b)/(a-2b)(a+b)=2a²+2ab + 3a²-6ab/(a-2b)(a+b)=5a²-4ab/(a-2b)(a+b)
ը) 3x/x-y — 2x/2x-y=3x(2x-y) — 2x(x-y)/(x-y)(2x-y)=6x²-3xy — 2x²+2xy/(x-y)(2x-y)=4x²-xy/(x-y)(2x-y)
թ) 5m/2m-n — 3m/n-m=5m(n-m) — 3m(2m-n)/(2m-n)(n-m)=5mn-5m² — 6m²+3mn/(2m-n)(n-m)=8mn-11m²/(2m-n)(n-m)
ժ) 4p/q-2p — 2p/2p+q=4p(q+2p) — 2p(q-2p)/q²-4p²=4pq+8p² — 2pq+4p²/q²-4p²=2pq+12p²/q²-4p²
ի) 7/2x-y — 5/y-2x=7/2x-y + 5/2x-y=12/2x-y
լ) 5x/x-3y + 4x+3y/3y-x=5x/x-3y — 4x+3y/x-3y=x-3y/x-3y

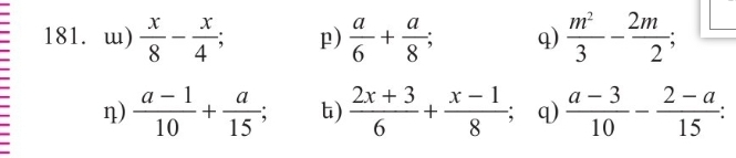
ա) x/8 — x/4=x-2x/8= -x/8
բ) a/6 + a/8=4a+3a/24=7a/24
գ) m²/3 — 2m/2=2m²-6m/6
դ) a-1/10 + a/15=3a-3 +2a/30=5a-3/30
ե) 2x+3/6 + x-1/8=8x+12 + 3x-3/24=11x+9/24
զ) a-3/10 — 2-a/15=3a-9 — 4+2a/30=5a-13/-30

ա) m/ab+m/ac=mc+mb/abc
բ) 2a/mn-5a/mb=2ab-5an/mnb
գ) 2a-3b/m + 4a-5b²/mb=2ab-3b² +4a-5b²/mb=-8b²+2ab+4a/mb
դ) x-y/xy — x-z/xz=xz-yz — xy +zy/xyz=xz-xy/xyz

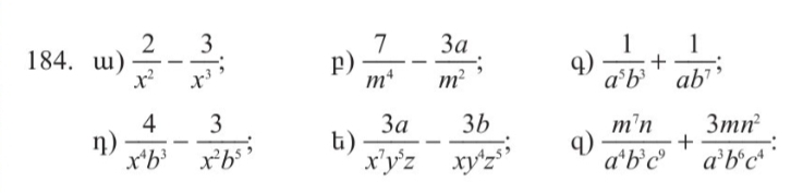
ա) 2/x² — 3/x³=2x — 3/x³
բ) 7/m⁴ — 3a/m²=7-3am²/m⁴
գ) 1/a⁵b³ + 1/ab⁷=b⁴+a⁴/a⁵b⁷
դ) 4/x⁴b³ — 3/x²b⁵=4b²-3x²/x⁴b⁵
ե) 3a/x⁷y⁵z — 3b/xy⁴z⁵=3az⁴-3bx⁶y/x⁷y⁵z⁵
զ) m⁷n/a⁴b³c⁹ + 3mn²/a³b⁶c⁴=m⁷nb³+3mn²ac⁵/a⁴b⁶c⁹


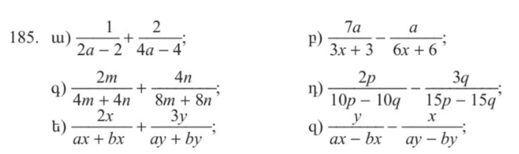
ա) 1/2a-2 + 2/4a-4=1/2(a-1) + 2/4(a-1)=2+2/4(a-1)=4/4(a-1)=1/a-1
բ) 7a/3x+3 — a/6x+6=7a/3(x+1) — a/6(x+1)=14a-a/6(x+1)=13a/6(x+1)
գ) 2m/4m+4n + 4n/8m+8n=2m/4(m+n) + 4n/8(m+n)= 4m+4n/8(m+n)=4(m+n)/8(m+n)=1/2
դ) 2p/10p-10q — 3q/15p-15q=2p/10(p-q) — 3q/15(p-q)=6p-6q/30(p-q)=6(p-q)/30(p-q)=1/5
ե) 2x/ax+bx + 3y/ay+by=2x/x(a+b) + 3y/y(a+b)=2xy+3xy/xy(a+b)=5xy/xy(a+b)=5/a+b
զ) y/ax-bx — x/ay-by=y/x(a-b) — x/y(a-b)=y²-x²/xy(a-b)
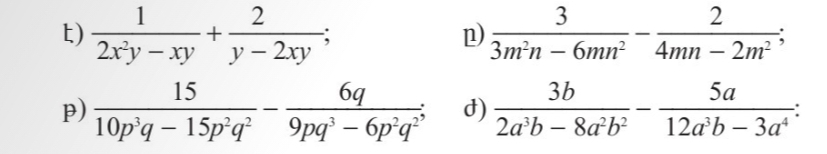
է) 1/2x²y + 2/y-2xy=y-2xy+4x²y/(2x²y)(y-2xy)
ը) 3/3m²n-6mn² — 2/4mn-2m²=3/3mn(m-2n) — 2/2m(2n-m)=6-6n/6mn(m-2n)
թ) 15/10p³q-15p²q² — 6q/9pq³-6p²q²=15/10p³q-15p²q² — 6q/9pq³-6p²q²=15/5p²q(2p-3q) — 6q/3pq²(3q-2p)=45q+30pq/15p²q²(2p-3q)
ժ) 3b/2a³b-8a²b² — 5a/12a³b-3a⁴=3b/2a²b(a-4b) — 5a/3a³(4b-a)=9ab + 10ab/6a³b(a-4b)=19ab/6a³b(a-4b)=19/6a2(a-4b)

ա) 2a/a²-9 + 3/a-3=2a+3a+9/a²-9=5a+9/a²-9
բ) 5/m+n — 4n/m²-n²=5m-5n — 4n/m²-n²=5m-9n/m²-n²
գ) x/4-9x² + 1/3x+2=x+ 2-3x/4-9x²=2-2x/4-9x²
դ) 1/2p+4q — q/4q²-p²=1/2(p+2q) — q/2(4q²-p²)=p-2q — 2q/(4q²-p²)=p-4q/4q²-p²
ե) 1/a²+ab+b² + b/a³-b³=1/a²+ab+b² + b/a²+ab+b²=a-b+b/a³-b³=a/a³-b³
զ) m²+n²/m³+n³ — 1/2(m+n)=m²+n²/(m+n)(m²-mn+n²) — 1/2(m-n)= 2m²+2n² — m²+mn-n²/2(m³+n³)=m²+mn+n²/2(m³+n³)
է) x²-2xy/(x-2y)³ + 1/2y-x=x²-2xy — x²+4xy-4y²/(x-2y)³=2xy-4y²/(x-2y)³=2y(x-2y)/(x-2y)³=2y/(x-2y)²
ը) 2(p+q)/p³-q³ + 3/q²-p²=2(p+q)(q²-p²)+3(p³-q³)/(p³-q³)(q²-p²)=2pq²-2p³+2q³-2p²q + 3p³-3q³/(p³-q³)(q²-p²)=p³-q³+2pq²-2qp²