Առաջադրանքներ՝ 188 – 193

ա) a/b × c/d=ac/bd
բ) x/y ÷ a/b=x/y × b/a=xb/ya
գ) 4a/7b × 21/a=4/b × 3/1=12/b
դ) 5/8 ÷ 15q/16p=1/1 ÷ 3q/2p=1/1 × 2p/3q= 2p/3q
ե) 5ax/6by × 3x/5y=ax/2by × x/y=ax²/2by²
զ) 7/a × 5ax/14by=1/1 × 5x/2by=5x/2by
է) 8a²y/5bx ÷ 3ay/4b²x=8a/5 ÷ 3/4b=4a/5 ÷ 3/b=4a/5 × b/3=4ab/15
ը) 25x²y³/36ab ÷ 35x³y/24b²=25y²/36a ÷ 35x/24b=5y²/6a ÷ 7x/4b=5y²/6a × 4b/7x=20y²b/42ax

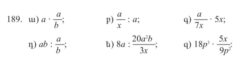
ա) a × a/b=a²/b
բ) a/x ÷ a=a²/x
գ) a/7x × 5x=5ax/7x
դ) ab ÷ a/b=ab × b/a=ab²/a
ե) 8a ÷ 20a²b/3x=8a × 3x/20a²b=24ax/20a²b
զ) 18p³ × 5x/9p²=2p³ × 5x/p²=10p³x/p²


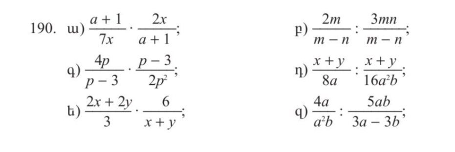
ա) a+1/7x × 2x/a+1=2ax+2x/7ax+7x=2+2/7+7=4/14
բ) 2m/m-n ÷ 3mn/m-n=2/1 ÷ 3n/1=2/1 × 1/3n=2/3n
գ) 4p/p-3 × p-3/2p²=4/-3 × -3/2p= -12/-6p= 2/p
դ) x+y/8a ÷ x+y/16a²b=1/1 ÷ 1/2ab=1/1 × 2ab/1=2ab/1