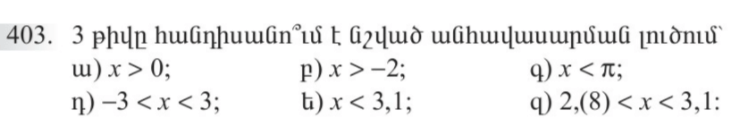
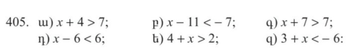
Տանը՝ 394, 396, 403-ի մնացածը, 405, 406, 411

ե)

զ)

է)

ը)

թ)


բ)

գ)

ե)

զ)

ը) __
թ)

ի)

լ) __

դ) Ոչ
ե) Այո
զ) Այո

ա) x+4>7
x > 7 — 4
x > 3
բ) x — 11 < -7
x < -7 + 11
x < 4
գ) x + 7 > 7
x > 7 — 7
x > 0
դ) x — 6 < 6
x < 6 + 6
x < 12
ե) 4 + x > 2
x > 2 — 4
x > -2
զ) 3 + x < -6
x < -6 — 3
x < -9

ա) x — 2 > 0,2
x > 0,2 + 2
x > 2,2
բ) x — 3,5 < 4
x < 4 + 3,5
x < 7,5
գ) 2,1 + x < 7
x < 7 — 2,1
x < 4,9
դ) x — 2 > -0,6
x > -0,6 + 2
x > 1,4
ե) x + 10,7 > 7,9
x > 7,9 — 10,7
x > -2,8
զ) 5,013 + x < 0,13
x < 0,13 — 5, 013
x < -4,883

ա) 2x > 0
2x/2 > 0/2
x > 0
բ) -2x < 0
-2x/-2 < 0/-2
x < 0
գ) -x < 2
-x/-1 < 2/-1
x < -2
դ) -x < 0
-x/-1 < 0/-1
x < 0
ե) -x > -2
-x/-1 > -2/-1
x > 2
զ) -x > 1
-x/-1 > 1/-1
x > -1