430 – 432, 434

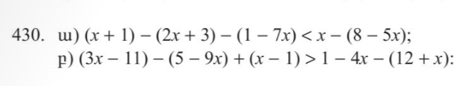
ա) (x + 1) — (2x + 3) — (1 — 7x) < x — (8 — 5x)
x + 1 — 2x — 3 — 1 + 7x < x — 8 + 5x
x — 2x + 7x — x — 5x < -8 — 1 + 3 + 1
0 < -5
Լուծում չունի
բ) (3x — 11) — (5 — 9x) + (x — 1) > 1 — 4x — (12 + x)
3x — 11 — 5 + 9x + x — 1 > 1 — 4x — 12 — x
3x + 9x + x + 4x + x > 1 — 12 + 11 + 5 + 1
18x > 6

ա) 2(x — 1) < 4
2x — 2 < 4
2x < 4 + 2
2x < 6
բ) 3(2x — 1) > 12
6x — 3 > 12
6x > 12 + 3
6x > 15
գ) 4(1+x) < 8 — 4x
4 + 4x < 8 — 4x
4x + 4x < 8 — 4
8x < 4
դ) 25 — 10x > -5(2x — 7)
25 — 10x > -10x + 35
-10x + 10x > 35 — 25
0 > 10
Լուծում չունի

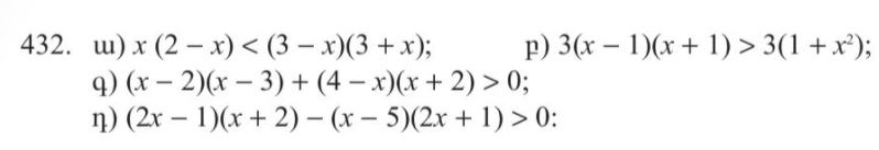
ա) x (2 — x) < (3 — x)(3 + x)
2x — x2 < 9 + 3x — 3x — x2
2x — x2 — 3x + 3x + x2 < 9
2x < 9
բ) 3 (x — 1)(x + 1) > 3 (1 + x2)
3 (x2 + x — x — 1) > 3 + 3x2
3x2 + 3x — 3x — 3 > 3 + 3x2
3x2 — 3 > 3 + 3x2
3x2 — 3x2 > 3 + 3
0 > 6
Լուծում չունի
գ) (x — 2)(x — 3) + (4 — x)(x + 2) > 0
x2 — 3x — 2x + 6 + 4x + 8 — x2 — 2x > 0
x2 — 3x — 2x + 4x — x2 > -6 — 8
-3x — 2x + 4x > -6 — 8
-x > — 14
x < 14
դ) (2x — 1) (x + 2) — (x — 5) (2x + 1) > 0
2x2 + 4x — x — 2 — 2x2 — x + 10x + 5 > 0
2x2 + 4x — x — 2x2 — x + 10x > 2 — 5
12x > -3

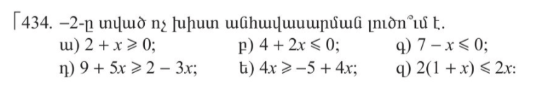
ա) 2 + x ≥ 0
x ≥ -2
բ) 4 + 2x ≤ 0
2x ≤ -4
x ≤ -4/2 = -2
գ) 7 — x ≤ 0
-x ≤ -7
x ≥ 7
դ) 9 + 5x ≥ 2 — 3x
5x + 3x ≥ 2 — 9
8x ≥ -7
x ≥ -7/8
ե) 4x ≥ -5 + 4x
4x — 4x ≥ -5
0 ≥ -5
զ) 2(1 + x) ≤ 2x
2 + 2x ≤ 2x
2x — 2x ≤ -2
0 ≤ -2