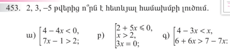
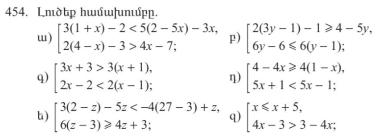
453, 454 ա-զ

ա) [ 4 — 4x , 0
[ 7x — 1 > 2
[ -4x b, -4
[ 7x > 3
[ x > 1
[ x > 3/7

x∈ (3/7, ∞)
բ) [ 2 + 5x ≤ 0
[ x > 2
[ 3x = 0
[ 5x ≤ -2
[ x > 2
[ 3x = 0
[ x ≤ -2/5
[ x > 2
[ x = 0

x∈ (-2/5, -∞) x∈ (2, ∞) u {0}
գ) [ 4 — 3x < x
[ 6 + 6x > 7 — 7x
[ -3x — x < -4
[ 6x + 7x > 7 — 6
[ -4x < -4
[ 13x > 1
[ x > 1
[ x > 1/13

x∈ (1/13, ∞)
ա) [ 3 (1 + x) — 2 < 5 (2 — 5x) — 3x
[ 2 (4 — x) — 3 > 4x — 7
[ 3 + 3x — 2 < 10 — 10x — 3x
[ 8 — 2x — 3 > 4x — 7
[ 3x + 10x + 3x < 10 — 3 + 2
[ -2x — 4x > -7 — 8 + 3
[ 16x < 9
[ -6x > -12
[ x < 9/16
[ x < 2
բ) [ 2 (3y — 1) — 1 ≥ 4 — 5y
[ 6y — 6 ≤ 6(y — 1)
[ 6y — 2 — 1 ≥ 4 — 5y
[ 6y — 6 ≤ 6y — 6
[ 6y + 5y ≥ 4 + 2 + 1
[ 6y — 6y ≤ -6 + 6
[ 11y ≥ 7
[ 0 = 0
գ) [ 3x + 3 > 3 (x + 1)
[ 2x — 2 < 2 (x — 1)
[ 3x + 3 > 3x + 3
[ 2x — 2 < 2x — 2
[ 3x — 3x > 3 — 3
[ 2x — 2x < -2 + 2
Լուծում չունի
դ) [ 4 — 4x ≥ 4 (1 — x)
[ 5x + 1 < 5x — 1
[ 4 — 4x ≥ 4 — 4x
[ 5x + 1 < 5x — 1
[ -4x + 4x ≥ 4 — 4
[ 5x — 5x < -1 — 1
Լուծում չունի

ե) [ 3 (2 — z) — 5z < -4 (27 — 3) + z
[ 6 (z — 3) ≥ 4z + 3
[ 6 — 3z — 5z < -108 + 12 + z
[ 6z — 18 ≥ 4z + 3
[ -3z — 5z — z < -108 + 12 + 6
[ 6z — 4z ≥ 3 + 18
[ -9z < -90
[ 2z ≥ 21
[ z > 10
[ z ≥ 21/2
զ) [ x ≤ x + 5
[ 4x — 3 > 3 — 4x
[ x — x ≤ 5
[ 4x + 4x > 3 + 3
[ 2x ≤ 5
[ 8x > 6
[ x ≤ 5/2
[ x > 6/8