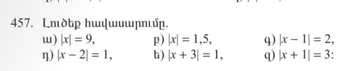
Առաջադրանքներ՝ 457, 471, 466-468

ա) |x| = 9
[ x = 9
[ x = -9
բ) |x| = 1,5
[ x = 1,5
[ x = -1,5
գ) |x-1| = 2
[ x — 1 = 2
[ x — 1 = -2
[ x = 2 + 1
[ x = -2 + 1
[ x = 3
[ x = -1
դ) |x — 2| = 1
[ x — 2 = 1
[ x — 2 = -1
[ x = 1 + 2
[ x = -1 + 2
[ x = 3
[ x = 1
ե) |x + 3| = 1
[ x + 3 = 1
[ x + 3 = -1
[ x = 1 — 3
[ x = -1 — 3
[ x = -2
[ x = -4
զ) |x + 1| = 3
[ x + 1 = 3
[ x + 1 = -3
[ x = 3 — 1
[ x = -3 — 1
[ x = 2
[ x = -4

ա) |3x — 2| ≤ 0
3x — 2 = 0
3x = 2
x = 2/3
բ) |4 — 5x| > 0
4 — 5x > 0
-5x > -4
5x > 4
x < 4/5
գ) |7 — x| ≥ 0
7 — x ≥ 0
-x ≥ -7
x ≤ 7
դ) |3 — 2x| ≤ -6
3 — 2x ≤ -6
-2x ≤ -6 — 3
-2x ≤ -9
x ≥ 2/9
ե) |4 + 4x| ≥ -5
4 + 4x ≥ -5
4x ≥ -5 — 4
4x ≥ -9
x = -9/4

ա) |x| = 5
[ 10 — x = 5
[ 20 — 3x ≥ 5
[ -x = 5 — 10
[ -3x ≥ 5 — 20
[ -x = -5
[ -3x ≥ -15
[ x = 5
[ 3x ≥ 15
[ x = 5
[ x = 5
բ) |x| = 4
[ 12 — 2x = 4
[ 28 — 6x = 4
[ -2x = 4 — 12
[ -6x = 4 — 28
[ -2x = -8
[ -6x = -24
[ x = 4
[ x = 4

ա) |x| > 5
[ 24 — 3x > 3
[ 35 — 2x ≥ 17
[ -3x > 3 — 24
[ -2x ≥ 17 — 35
[ -3x > -21
[ -2x ≥ -18
[ x > 7
[ x ≥ 9
բ) |x| > 4
[ -16 + x > -10
[ -38 + 2x > -24
[ x > -10 + 16
[ 2x > -24 + 38
[ x > 6
[ 2x > 14
[ x > 6
[ x > 7

ա) |x| < 5
[ 15 — x < 11
[ -7 — x < -10
[ -x < 11 — 15
[ -x < -10 + 7
[ -x < -4
[ -x < -3
[ x > 4
[ x > 3
բ) |x| ≤ 4
[ 64 — 7x ≤ 43
[ -8 — x = -11
[ -7x ≤ 43 — 64
[ -x = -11 + 8
[ -7x ≤ -21
[ -x = -3
[ x ≤ 3
[ x = 3