Հանրահաշիվ Դասարանական և տնային աշխատանք 11.03.2022

Առաջադրանքներ 495- 497, 500, 503

ա) 2 + √1 = 2 + 1 = 3

բ) 15 — √36 = 15 — 6 = 9

գ) √9 + √4 = 3 + 2 = 5

դ) √16 + √25 = 4 + 5 = 9

ե) √49 — √1 = 7 — 1 = 6

զ) √81 — √49 = 9 — 7 = 2

է) √100 — √36 = 10 — 6 = 4

ը) √144 — √121 = 12 — 11 = 1

թ) √0,36 + √0,49 = 0,6 + 0,7 = 1,3

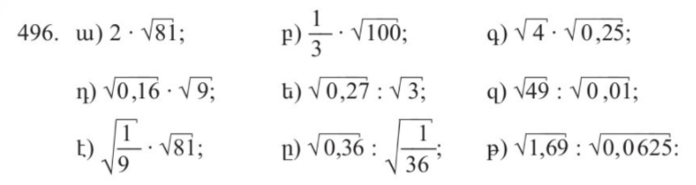
ա) 2 * √81 = 2 * 9 = 18

բ) 1/3 * √100 = 1/3 * 10 = 10/3

գ) √4 * √0,25 = 2 * 0,5 = 1

դ) √0,16 * √9 = 0,4 * 3 = 1,2

ե) √0,27 : √3 = √0,27 : 3 = 0,03√3

զ) √49 : √0,01 = 7 : 0,1 = 70

է) √1/9 * √81 = 1/3 * 9 = 9/3 = 3

ը) √0,36 : √1/36 = 6/10 : 1/6 = 3/6

թ) √1,69 : √0,0625 = 1,3 : 0,25 = 0,52

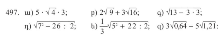
ա) 5 * √4 * 3 = 5 * 2 * 3 = 30

բ) 2√9 + 3√16 = 6 + 12 = 18

գ) √13 — 3 * 3 = √4 = 2

դ) √72 — 26 : 2 = √36 = 6

ե) 1/3√52 + 22 : 2 = 1/3√36 = 1/3 * 6 = 6/3 = 2

զ) 3√0,64 — 5√1,21 = 3 * 0,8 — 5 * 1,1 = 2,4 — 5,5 = -3,1

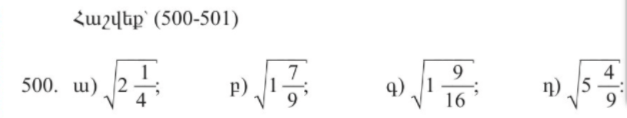
ա) √2 1/4 = √9/4 = 3/2 = 1,5

բ) √1 7/9 = √16/9 = 4/3

գ) √1 9/16 = √25/16 = 5/4

դ) √5 4/9 = √49/9 = 7/3

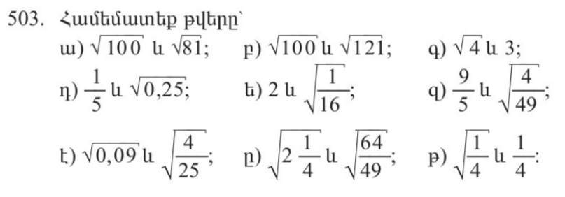
ա) √100 և √81 = 10 > 9

բ) √100 և √121 = 10 < 11

գ) √4 և √3 = 2 > √3

դ) 1/5 և √0,25 = 1/5 < 0,25

ե) 2 և √1/16 = 2 > 1/4

զ) 9/5 և √4/49 = 9/5 > 2/7

է) √0,09 և √4/25 = 0,03 < 2/5

ը) √2 1/4 և √64/49 = √9/4 և 8/7 = 3/2 > 8/7

թ) √1/4 և 1/4 = 1/2 > 1/4

Թողնել մեկնաբանություն