Առաջադրանքներ՝ 522, 523, 526, 527

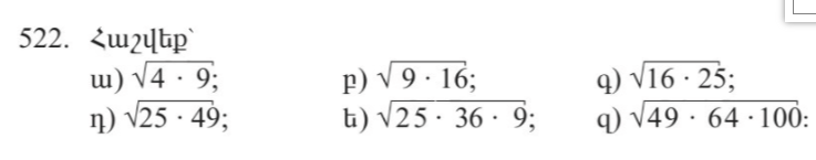
ա) √4 * 9 = 2 * 3 = 6
բ) √9 * 16 = 3 * 4 = 12
գ) √16 * 25 = 4 * 5 = 20
դ) √25 * 49 = 5 * 7 = 35
ե) √25 * 36 * 9 = 5 * 6 * 3 = 90
զ) √49 * 64 * 100 = 7 * 8 * 10 = 560

ա) √12 = √4 * 3 = √4 * √3 = 2√3
բ) √18 = √9 * 2 = √9 * √2 = 3√2
գ) √20 = √4 * 5 = √4 * √5 = 2√5
դ) √24 = √4 * 6 = √4 * √ 6 = 2√6
ե) √27 = √9 * 3 = √9 * √3 = 3√3
զ) √28 = √4 * 7 = √4 * √7 = 2√7
է) √32 = √4 * 8 = √4 * √8 = 2√8
ը) √45 = √9 * 5 = √9 * √5 = 3√5
թ) √50 = √25 * 2 = √25 * √2 = 5√2
ժ) √72 = √9 * 8 = √9 * √8 = 3√8

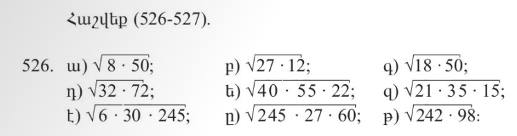
ա) √8 * 50 = √400 = 20
բ) √27 * 12 = √9 * 3 * 3 * 4 = 3 * 3 * 2 = 18
գ) √18 * 50 = √9 * 2 * 25 * 2 = 3 * 2 * 5 = 30
դ) √32 * 72 = √8 * 4 * 9 * 8 = 8 * 2 * 3 = 48
ե) √40 * 55 * 22 = √4 * 2 * 5 * 11 * 5 * 11 * 2 = 2 * 5 * 11 * 2 = 220
զ) √21 * 35 * 15 = √7 * 3 * 7 * 5 * 5 * 3 = 7 * 3 * 5 = 105
է) √6 * 30 * 245 = √6 * 6 * 5 * 5 * 7 * 7 = 6 * 5 * 7 = 210
ը) √245 * 27 * 60 = √5 * 7 * 7 * 3 * 3 * 3 * 2 * 3 * 2 * 5 = 5 * 7 * 3 * 3 * 2 = 630
թ) √242 * 98 = √11 * 11 * 2 * 2 * 7 * 7 = 11 * 2 * 7 = 154

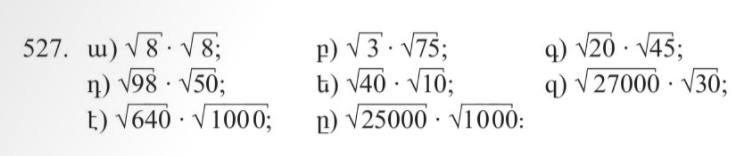
ա) √8 * √8 = √8 * 8 = 8
բ) √3 * √75 = √3 * 75 = √3 * 3 * 5 * 5 = 3 * 5 = 15
գ) √20 * √45 = √20 * 45 = √4 * 5 * 9 * 5 = 2 * 5 * 3 = 30
դ) √98 * √50 = √98 * 50 = √2 * 7 * 7 * 5 * 5 * 2 = 2 * 7 * 5 = 70
ե) √40 * √10 = √40 * 10 = √4 * 10 * 10 = 2 * 10 = 20
զ) √27000 * √30 = √27000 * 30 = √900 * 30 * 30 = 30 * 30 = 900
է) √640 * √1000 = √640 * 1000 = √64 * 10 * 100 * 10 = 8 * 10 * 10 = 800
ը) √25000 * √1000 = √25000 * 1000 = √25000000 = 5000