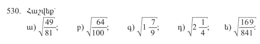
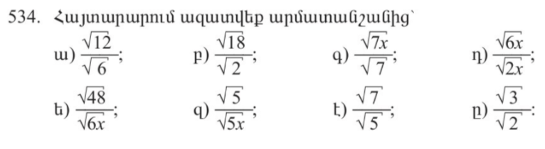
529, 530, 534, 535

ա) √2/9 = √2/√9 √2/3
բ) √3/16 = √3/√16 = √3/4
գ) √40/81 = √40/√81 = √40/9
դ) √72/25 = √72/√25 = √72/5
ե) √12 1/2 = √25/√2 = 5/√2
զ) √1 1/4 = √5/√4 = √5/2
է) √x3/9 = √x2 * x/√9 = √x2 * √x/3 = x√x/3
ը) √7a/16b2 = √7a/√16b2 = √7a/4b
թ) √3m3n2/4a2b = √3 * m2 * m * n2 / 2a√b = m * n/√3m/2a√b
ժ) √25x2y3/mn7 = 5x * √y2 * y / m * n2 * n2 * n2 * n = 5x * y√y / n3/m n
ի) √0,1x/10y2 = √0,01x/y2 = 0,1√x/y
լ) √5m3/0,5n = √10m3/n = √10√m2 * √m/√n = m√10m/√n

ա) √49/81 = 7/9
բ) √64/100 = 8/10
գ) √1 7/9 = √16/9 = 4/3
դ) √2 1/4 = √9/4 = 3/2
ե) √169/841 = 13/29

ա) √12/√6 = √12/√6 * √6/√6 = √72/6
բ) √18/√2 = √18/√2 * √2/√2 = √36/2
գ) √7x/√7 = √7x/√7 * √7/√7 = √49x/7
դ) √6x/√2x = √6x/√2x * √2x/√2x = √12x2/2x
ե) √48/√6x = √48/√6x * √6x/√6x = √288x/6x
զ) √5/√5x = √5/√5x * √5x/√5x = √25x/5x
է) √7/√5 = √7/√5 * √5/√5 = √35/5
ը) √3/√2 = √3/√2 * √2/√2 = √6/2

ա) 3√2 և 2√3
√9 * √2 = √18
√4 * √3 = √12
√18 > √12
բ) 10√20 և 20√10
√100 * √20 = √2000
√400 * √10 = √4000
√2000 < √4000
գ) 3√0,5 և 2√0,5
√9 * √0,5 = √4,5
√4 * √0,5 = √2
√4,5 > √2
դ) 5√0,3 և 7√0,3
√25 * √0,3 = √7,5
√49 * √0,3 = √14,7
√7,5 < √14,7
ե) 3√10 և 4√6
√9 * √10 = √90
√16 * √6 = √96
√90 < √96
զ) 6√3 և 5√4
√36 * √3 = √108
√25 * √4 = √100
√108 > √100
է) 7√5 և 5√7
√49 * √5 = √245
√25 * √7 = √175
√245 > √175
ը) 2√30 և 5√5
√4 * √30 = √120
√25 * √5 = √125
√120 < √125
թ) 12√10 և 10√12
√144 * √10 = √1440
√100 * √12 = √1200
√1440 > √1200