Առաջադրանքներ՝ 549, 550

ա) √3x — 1 = 0
3x — 1 ≥ 0
3x ≥ 1
x ≥ 1/3
x ∈ [1/3, ∞)
3x — 1 = 0
3x = 1
x = 1/3
բ) √4x + 5 = 2
4x + 5 ≥ 0
4x ≥ -5
x ≥ -5/4
x ∈ [-5/4, ∞)
4x + 5 = 4
4x = 4 — 5
4x = -1
x = -1/4
գ) √7 — 3x = 1
7 — 3x ≥ 0
-3x ≥ -7
x ≥ 7/3
x ∈ [7/3, ∞)
7 — 3x = 1
-3x = 1 — 7 = -6
x = 2
դ) √ -x — 1 = 3
-x — 1 ≥ 0
-x ≥ 1
x ≤ -1
x ∈ (-∞, -1]
-x — 1 = 9
-x = 9 — 1
-x = 10
x = -10
ե) √ -4 + 5x = 2
-4 + 5x ≥ 0
5x ≥ 4
x ≥ 4/5
x ∈ [4/5, ∞)
-4 + 5x = 4
5x = 4 + 4 = 8
x = 8/5
զ) √ -x = 1/2
-x ≥ 0
x ≤ 0
x ∈ (-∞, 0 ]
-x = 1/4
x = -1/4

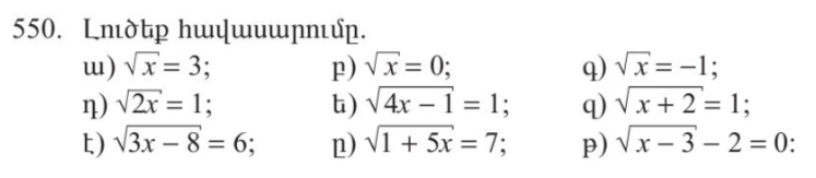
ա) √x = 3
x ≥ 0
x ∈ [ 0, ∞)
x = 9
բ) √x = 0
x ≥ 0
x ∈ [ 0, ∞)
x = 0
գ) √x = -1
x ≥ 0
x ∈ [ 0, ∞)
x = 1
դ) √2x = 1
2x ≥ 0
x ≥ 0
x ∈ [ 0, ∞)
2x = 1
x = 1/2
ե) √4x — 1 = 1
4x — 1 ≥ 0
4x ≥ 1
x ≥ 1/4
x ∈ [ 1/4, ∞)
4x — 1 = 1
4x = 1 + 1 = 2
x = 2/4 = 1/2
զ) √x + 2 = 1
x + 2 ≥ 0
x ≥ -2
x ∈ [ -2, ∞)
x + 2 = 1
x = 1 — 2
x = -1
է) √3x — 8 = 6
3x — 8 ≥ 0
3x ≥ 8
x ≥ 8/3
x ∈ [8/3, ∞)
3x — 8 = 36
3x = 36 + 8
3x = 44
x = 44/3
ը) √1 + 5x = 7
1 + 5x ≥ 0
5x ≥ -1
x ≥ -1/5
x ∈ [-1/5, ∞)
1 + 5x = 49
5x = 48
x = 48/5
թ) √x — 3 — 2 = 0
√ x — 3 = 2
x — 3 ≥ 0
x ≥ 3
x ∈ [ 3, ∞)
x — 3 + 4 = 0
x — 3 = 4
x = 7