Առաջադրանքներ՝ 600-603

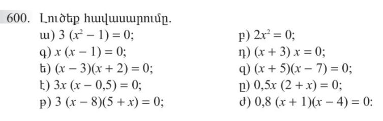
ա) 3 (x2 — 1) = 0
x2 — 1 = 0
(x — 1) (x + 1) = 0
[ x — 1 = 0
[ x + 1 = 0
բ) 2x2 = 0
x = 0
գ) x (x — 1) = 0
[ x = 0
[ x — 1 = 0
x = 0
x = 1
դ) (x + 3) x = 0
[ x = 0
[ x + 3 = 0
x = 0
x = -3
ե) (x — 3) (x + 2) = 0
[ x — 3 = 0
[ x + 2 = 0
x = 3
x = -2
զ) (x + 5) (x — 7) = 0
[ x + 5 = 0
[ x — 7 = 0
x = -5
x = 7
է) 3x (x — 0,5) = 0
[ x = 0
[ x — 0,5 = 0
x = 0
x = 0,5
ը) 0,5x (2 + x) = 0
[ x = 0
[ 2 + x = 0
x = 0
x = -2
թ) 3 (x — 0,5) (5 + x) = 0
[ x — 0,5 = 0
[ 5 + x = 0
x = 0,5
x = -5
ժ) 0,8 (x + 1) (x — 4) = 0
[ x + 1 = 0
[ x — 4 = 0
x = -1
x = 4

ա) x2 — 4x = 0
x (x — 4) = 0
[ x = 0
[ x — 4 = 0
x = 0
x = 4
բ) x2 + 6x = 0
x (x + 6) = 0
[ x = 0
[ x + 6 = 0
x = 0
x = -6
գ) 3x2 + x = 0
x (3x + 1) = 0
[ x = 0
[ 3x + 1 = 0
x = 0
3x = -1
x = -1/3
դ) x2 — 0,5x = 0
x (x — 0,5) = 0
[ x = 0
[ x — 0,5 = 0
x = 0
x = 0,5
ե) 2x + 3x2 = 0
x (2 + 3x) = 0
[ x = 0
[ 2 + 3x = 0
x = 0
3x = -2
x = -2/3
զ) x — 2x = 0
x = 0
է) 7x2 = 5x
7x2 — 5x = 0
x (7x — 5) = 0
[ x = 0
[ 7x — 5 = 0
x = 0
7x = 5
x = 5/7
ը) 3x = 11x2
3x — 11x2 = 0
x (3 — 11x) = 0
[ x = 0
[ 3 — 11x = 0
x = 0
-11x = 3
x = -3/11
թ) 1/2x2 — 3x = 0
x (1/2x — 3) = 0
[ x = 0
[ 1/2x — 3 = 0
x = 0
1/2x = 3
x = 3 / 1/2 = 6

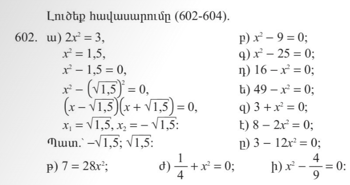
բ) x2 — 9 = 0
x2 — (√9)2 = 0
(x — √9)(x + √9) = 0
x1 = 3
x2 = -3
գ) x2 — 25 = 0
x2 — (√25)2 = 0
(x — √25)(x + √25) = 0
x1 = 5
x2 = -5
դ) 16 — x2 = 0
-x2 = -16
x2 = 16
x2 — 16 = 0
x2 — (√16)2 = 0
(x — √16)(x + √16) = 0
x1 = 4
x2 = -4
ե) 49 — x2 = 0
-x2 = -49
x2 = 49
x2 — 49 = 0
x2 — (√49)2 = 0
(x — √49)(x + √49) = 0
x1 = 7
x2 = -7
զ) 3 + x2 = 0
Լուծում չունի
է) 8 — 2x = 0
-2x2 = -8
x2 = 4
x2 — 4 = 0
x2 — (√4)2 = 0
(x — √4)(x + √4) = 0
x1 = 2
x2 = -2
ը) 3 — 12x2 = 0
-12x2 = -3
x2 = 1/4
x2 — 1/4 = 0
x2 — (√1/4)2 = 0
(x — √1/4)(x + √1/4) = 0
x1 = 1/2
x2 = -1/2
թ) 7 = 28x2
-28x2 = -7
x2 = 7/28 = 1/4
x2 — 1/4 = 0
x2 — (√1/4)2 = 0
(x — √1/4)(x + √1/4) = 0
x1 = 1/2
x2 = -1/2
ժ) 1/4 + x2 = 0
Լուծում չունի
ի) x2 — 4/9 = 0
x2 — (√4/9)2 = 0
(x — √4/9)(x + √4/9) = 0
x1 = 2/3
x2 = -2/3

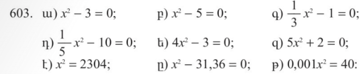
ա) x2 — 3 = 0
x2 — (√3)2 = 0
(x — √3)(x + √3) = 0
x1 = √3
x2 = -√3
բ) x2 — 5 = 0
x2 — (√5)2 = 0
(x — √5)(x + √5) = 0
x1 = √5
x2 = -√5
գ) 1/3x2 — 1 = 0
1/3x2 = 1
x2 = 3
x2 — 3 = 0
x2 — (√3)2 = 0
(x — √3)(x + √3) = 0
x1 = √3
x2 = -√3
դ) 1/5x2 — 10 = 0
1/5x2 = 10
x2 = 50
x2 — 50 = 0
x2 — (√50)2 = 0
(x — √50)(x + √50) = 0
x1 = √50
x2 = -√50
ե) 4x2 — 3 = 0
4x2 = 3
x2 = 3/4
x2 — 3/4 = 0
x2 — (√3/4)2 = 0
(x — √3/4)(x + √3/4) = 0
x1 = √3/4
x2 = -√3/4
զ) 5x2 + 2 = 0
Լուծում չունի
է) x2 = 2304
x2 — 2304 = 0
x2 — (√2304)2 = 0
(x — √2304)(x + √2304) = 0
x1 = 48
x2 = -48
ը) x2 — 31,36 = 0
x2 — (√31,36)2 = 0
(x — √31,36)(x + √31,36) = 0
x1 = 5,6
x2 = -5,6
թ) 0,001x2 = 40
x2 = 40 000
x2 — 40 000 = 0
x2 — (√40 000)2 = 0
(x — √40 000)(x + √40 000) = 0
x1 = 200
x2 = -200