Վ. 103

ա) 4x + 2x2 — 1 > 0
2x2 + 4x — 1 > 0
բ) 6 + x2 < 0
x2 + 6 < 0
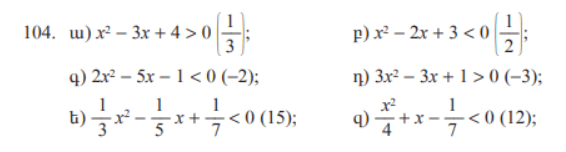
Վ. 104

ա) x2 — 3x + 4 > 0 (1/3)
(1/3)2 — 3 * 1/3 + 4 = 1/9 — 1 + 4 = 1/9 + 3 = 1 + 27 / 9 = 28/9 > 0 Լուծում է
բ) x2 — 2x + 3 < 0 (1/2)
(1/2)2 — 2 * 1/2 + 3 = 1/4 — 1 + 3 = 1/4 + 2 = 1 + 8 / 4 = 9/4 > 0 Լուծում չէ
Վ. 105

ա) x2 — 11,7x + 17 < 0 (√3)
(√3)2 — 11,7 * √3 + 17 = 3 — 11,7√3 = 20 — 11,7√3 < 0
բ) x2 — 11,4x + 14 > 0 (√2)
(√2)2 — 11,4 * √2 + 14 = 2 — 11,4√2 + 14 = 16 — 11,4√2 < 0