Սևաբերդի մասին տեղեկություններ

Սևաբերդ գյուղն այսօր, ըստ մարզպետարանի տվյալների, ունի 265 բնակիչ:

Գյուղը գտնվում է Գեղամա լեռնաշղթայի արևմտյան լանջին, Աբովյան քաղաքից 20 կմ հյուսիս-արևելք:

Բնակչությունը հիմնականում 1915թ. Արևմտյան Հայաստանից բռնագաղթված հայեր են` Մշո, Էրզրումի, Ալաշկերտի գավառներից: Նախկինում գյուղում բնակվել են թաթարներ, այսօրվա բառապաշարով՝ ադրբեջանցի, և այն կոչվել է եղել Ղարաղալա, որը նշանակում է Սևաբերդ:

Գյուղում գտնվող պատմական հուշարձանները փաստում են, որ բնակավայրը գոյություն է ունեցել ոչ թե դարեր, այլ նույնիսկ հազարամյակներ առաջ։ Եկեղեցու և գերեզմանոցի մնացորդներն էլ վկայում են միջնադարում զարգացած գյուղի ծաղկուն վիճակի մասին։ Գյուղի տարածքում պահպանվել են 3 դամբարանադաշտ՝ Ք. ա. 3-1 հազարամյակների։ 1895 թ․ գյուղում հայեր չեն բնակվել։

Տեղեկություններ Ջրվեժի անտառապարկի մասին

«Ջրվեժ» անտառապարկը հիմնվել է 1977թ. եւ ունեցել է 400,43 hա տարածք:

Անտառապարկում աճում են «Կարմիր գրքում» գրանցված հազվագյուտ եւ անհետացող 21 տեսակի բույսեր` սոսի արեւելյան, գիհի բազմապտուղ, գիհի կազակական, նշենի սովորական, 100-ից ավելի ծառաթփատեսակներ եւ պարտեզային ձեւեր` եղեւնի կովկասյան, սոճի ղրիմյան, խեժափիճի սիբիրական, թույա արեւմտյան,  300 տեսակի անոթավոր բույսեր,  եւ այլն: 

Անտառապարկից դուրս մնացած տարածքը, գտնվում է Գառնի-Երեւան խճուղու վրա: Այստեղ են աճում Հայաստանի ամենագեղեցիկ սոճիները:

Ամփոփում | Մաթեմ բ.

Աշխատանքին յուրաքանչյուրի մասնակցությունը պարտադիր է։ Տեղադրիր տրված հարցերն իրենց պատասխաններով քո բլոգի <<Մաթեմատիկա և երևակայություն>> կամ <<Մաթեմատիկա առանց բանաձևերի>> բաժնում՝ <<Աշխատանքների գնահատում>> վերնագրով։ Աշխատանքը կատարելուց հետո հղումն ուղարկիր մեյլի միջոցով։

Քանի՞ աշխատանք է կատարված և տեղադրված բլոգի Մաթեմատիկա առանց բանաձևերի/Մաթեմատիկա և երևակայություն բաժնում։

Ֆլեշմոբ / Առաջին մակարդակ 13.12.2021

Հոկտեմբեր ամսվա մաթեմատիկական ֆլեշմոբ — 2021

Սեբաստացի սովորողների կազմը` դիագրամներով

ՇԻՐԱԿԱՑՈՒՑ ԽՆԴԻՐՆԵՐ

Ո՞ր նախագծերին ես մասնակցել․ թվարկել անվանումներով։

ՇԻՐԱԿԱՑՈՒՑ ԽՆԴԻՐՆԵՐ

Սեբաստացի սովորողների կազմը` դիագրամներով

Տեղադրիր առարկայի շրջանակներում կատարածդ աշխատանքների/ նախագծերի հղւմները։

Ֆլեշմոբ / Առաջին մակարդակ 13.12.2021

Հոկտեմբեր ամսվա մաթեմատիկական ֆլեշմոբ — 2021

Սեբաստացի սովորողների կազմը` դիագրամներով

ՇԻՐԱԿԱՑՈՒՑ ԽՆԴԻՐՆԵՐ

Ո՞ր նախագծերին չես մասնակցել, որո՞նք են բացթողումներդ։

Ի՞նչ ժամկետում ես պատկերացնում և պատրաստվում կատարել բաց թողնված աշխատանքները, լրացնել բաց թողնված նախագծերը։

Ի՞նչ մաթեմատիկական թեմայով ես ցանկանում տեսնել հաջորդ նախագիծը։

Տրամաբանական խնդիրներ

Ինչպիսի՞ն կլինի քո մասնակցությունը հաջորդ նախագծին։

Ավելի ակտիվ

Ինչպե՞ս կգնահատես առարկայի շրջանակներում մինչ այժմ կատարածդ աշխատանքը։

7

Նելսոն անունով ամենատխուր արջի մասին 🐻

Վերջին օրերին աշխարհի տարբեր լրատվամիջոցներում հրապարակվում են նյութեր մի արջի մասին, որը ապրում է Հայաստանում շատ վատ պայմաններում: Նրան արդեն 30 տարի պահում են Արմավիրի կենդանաբանական այգում, փոքր վանդակում: Նա շատ ծեր է և արդեն կուրացել է: Նրան երբեք վանդակից բաց չեն թողել և պահում են շատ վատ պայմաններում: Կարող են օրերով չկերակրել, չեն մաքրում վանդակը և դուրս չեն հանում խեղճ արջին:

Աղբյուր՝ https://hetq.am/hy/article/133953

Արջն ունի բժշկական օգնության և խնամքի կարիք: Նրա նման ևս 20 արջ բնակվում են Հայաստանում տարբեր մասնավոր կենդանաբանական այգիներում և ոչ ոք չի հոգում նրանց իրավունքների մասին: Կենդանիների փրկության միջազգային կազմակերպությունը աշխարհում շատ նման արջերի է օգնել և ցանկանում է օգնել Նելսոն արջուկին:

Աղբյուր՝ https://www.facebook.com/100000845007020/posts/4230310140340444/?d=n

Արջուկի տերը ասում է, որ չի թողի, որ արջին տանեն, քանի որ «շատ է նրան սիրում», բայց նրա արարքները հակառակ բանի մասին են խոսում: Սա բոլոր մարդկանց է վերաբերում՝ եթե պատրաստվում եք կենդանի պահել, կապ չունի վայրի թե տնային, դուք պետք է մեծ պատասխանատվություն կրեք, քանի որ դա խաղալիք չէ, այլ կենդանի էակ:

Անհրաժեշտ են օրենքներ, որոնք կպաշտպանեն կենդանիներին մարդկանց վատ վերաբերմունքից և կպատժեն այն մարդկանց, ովքեր օգտագործում են կենդանիներին իրենց զվարճանքի համար: Իմ կարծիքով դա ճիշտ չէ վայրի կենդանուն պոկել իր բնական միջավայրից և պահել, որպես տան կենդանի: Վայրի կենդանիների տեղը բնության գրկում է, իսկ տնային կենդանիները արդեն իրենց կյանքի սկզբից սովոր են տնային պայմաններում ապրել:

Պետք է ամեն ինչ անել, որ Նելսոն արջուկը իր ծերությունը լավ պայմաններում անցկացնի:

Ճամփորդություն դեպի Արմավիրի կենդանաբանական այգի

Այսօր մենք այցելեցինք Արմավիրի կենդանաբանական այգի, որտեղ տեսանք շատ կենդանիների, որոնց պահանջվում է խնամք։ Նրանք շատ վատ վիճակում էին` կեղտոտ էին, շատ վատ ուտելիք և ջուր ունեին։

Արջը եկել է ռուսաստանից` կրկեսի հետ և հետ գնալուց արջի` հետ տանելու հետ խնդիրներ առաջացան։ Եվ այդպես նրան պետք է քնացնեին, սպանեին, կամ մեկին տային։ Եվ կենդանաբանական այգու տերը որոշեց նրան իր մոտ վերցնել և խնամել։ Այդպես արջը արդեն 30֊ից ավել տարի է ապրում այդ կենդանաբանական այգում։ Այդ արջը կույր է` ծերության պատճառով։ Նա սնվում է իրենց համար ոչ օգտակար ուտելիքով` եփած մսով, բանջարեղենով և այլն։

Նաև մենք այնտեղ տեսանք շատ այլ կենդանիների, որոնք խնամք են պահանջում։ Օրինակ` գայլ, քարայծ, արծիվ, առյուծ, սիրամարգ, ջայլամ, գառներ և այլն։

Մենք հասկանում ենք, որ տերը ուզում է օգնել կենդանիներին, բայց եթե չկան գումարային միջոցներ, իմ կարծիքով, պետք չէ այս ամենով զբաղվել և պետք է տանել նրանց լավ կենդանաբանական այգիներ, որտեղ նրանց մասին հոգ կտանեն։ Եթե մասնագիտացված կենտրոնը ցանկանում է օգնել այդ կենդանիներին, ապա պետք է թույլ տալ արջին և այլ կենդանիներին ստանալ նոր, ավելի լավ կյանք։ Ես համոզված եմ, որ լավ մասնագետները կկարողանան օգնել կենդանիներին` առանց կյանքը վտանգելու։

Կենդանիների և մարդու լողալը

Պատրաստել նյութ Արքիմեդի մասին և«Կենդանիների և մարդու լողալը՝էջ158»թեմայի վերաբերյալ

Ջրում ապրող կենդանիների մարմնի միջին խտությունը քիչ է տարբերվում ջրի խտությունից, որը հնարավորություն է տալիս նրանց լողալու ջրի խորքերում կամ նրա մակերևույթին: Փոփոխելով մարմնի ծավալը ջրային կենդանիները կարողանում են կարգավորել ջրում իրենց վրա ազդող արքիմեդյան ուժը: Ձկները դա անում են լողափամփուշտի օգնությամբ, որի ծավալը հեշտությամբ փոփոխվում է: Պոչը թափահարելով ձուկը կարողանում է տեղաշարժվել և հայտնվել տարբեր խորություններում: Մեծ խորություններում, որտեղ ջրի ճնշումը մեծ է, լողափամփուշտը սեղմվում է, ձկան մարմնի ծավալը փոքրանում, և նա չի բարձրանում, այլ լողում է տվյալ խորությունում: Վեր բարձրանալիս ձկան լողափամփուշտն ու մարմնի ծավալը մեծանում են, և նա լողում է փոքր խորություններում: Սատկած ձուկը միշտ լողում է ջրի երեսին, քանի որ այդ դեպքում ձկան մկաններն ամբողջովին թուլացած են, և լողափամփուշտն առավելագույնս փքված վիճակում է։ Կետերը ջրում իրենց խորասուզման մակարդակը կարգավորում են մեծացնելով կամ փոքրացնելով թոքերի ծավալը:

Մարդու մարմնի միջին խտությունը նույնպես մոտ է ջրի խտությանը: Դա է պատճառը, որ երբ մարդը լրիվ սուզվում է ծովի ջրում` ջրից դուրս թողնելով միայն քիթն ու բերանը, չի լսորասուզվում: Այս դեպքում նրա վրա ազդող ծանրության ուժը հավասարակշռվում է արքիմեդյան ուժով: Սակայն այդպիսի վիճակն անկայուն է, երբ մարդը ջրից դուրս է հանում ձեռքը կամ գլուխը, նրա վրա ազդող արքիմեդյան ուժը փոքրանում է, և նա սկսում է խորասուզվել: Ջրի մակերևույթին մնալը կամ խորասուզվելը պայմանավորված է նաև ջրի աղիության աստիճանով: Քաղցրահամ ջրում, որի խտությունը փոքր է մարդու մարմնի միջին խտությունից, լողալ չիմացող մարդը սուզվում է, իսկ բավականաչափ աղի ջրում, որի խտությունը մեծ է մարդու մարմնի միջին խտությունից, նա կարողանում է
պառկած մնալ ջրի մակերևույթին:
Աղի պարունակությունը մեծացնելիս մեծանում է ջրի
խտությունը և, հետևաբար, նրա մեջ ընկղմված մարմնի
վրա ավելի մեծ արտամղող ուժ է ազդում: Այդպիսի ջրում
լողալը շատ ավելի հեշտ է:

Հանրահաշիվ Տնային աշխատանք 12.12.2021

Առաջադրանքներ՝ 159, 160, 163

ա) a²-b²/a-b=(a+b)(a-b)/a-b=a+b

բ) x-1/x²-1=x-1/(x-1)(x+1)=x-1/(x-1)(x+1)=1/x-1

գ) m²-n²/2m+2n=(m+n)(m-n)/2(m+n)=m-n/2

դ) xm+xn/m²-n²=xm+xn/(m+n)(m-n)=x(m+n)/m-n=x/x-n

ե) x²-2x+1/x²-1=(x-1)²/(x-1)(x+1)=x-1/x+1

զ) a²-b²/b²+2ab+a²=(a-b)(a+b)/(a+b)²=a-b/a+b

է) n²-m²/(n-m)²=(n-m)(n+m)/(n-m)²=n+m/n-m

ը) p-p²/p²-1=p(1-p)/(p-1)(p+1)= -p(p-1)/(p-1)(p+1)= -p/p+1

թ) x+x²/x³-x=x(1+x)/x(x²-1)=1+x/(x-1)(x+1)=1/x-1

ժ) a³-2a²/4-a²=a²(a-2)/(2-a)(2+a)= -a²(2-a)/(2-a)(2+a)= -a²/2+a

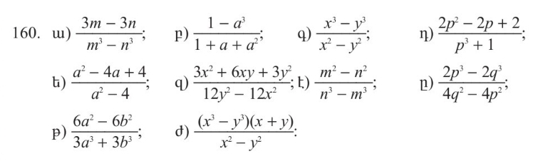
ա) 3m-3n/m³-n³=3(m-n)/(m-n)(m²+mn+n²)=3/m²+mn+n²

բ) 1-a³/1+a+a²=(1-a)(1+a+a²)/1+a+a²=1-a

գ) x³-y³/x²-y²=(x-y)(x²+xy+y²)/(x-y)(x+y)=x²+xy+y²/x+y

դ) 2p²-2p+2/p³+1=2(p²-p+1)/(p+1)(p²-p+1)=2/p+1

ե) a²-4a+4/a²-4=(a-2)²/(a-2)(a+2)=a-2/a+2

զ) 3x²+6xy+3y²/12y²-12x²=3(x²+2xy+y²)/12(y²-x²)=3(x+y)²/12(y-x)(y+x)=x+y/4(y-x)

է) m²-n²/n³-m³=(m-n)(m+n)/(n-m)(n²+nm+m²)= -(m+n)/(n²+nm+m²)

ը) 2p³-2q³/4q²-4p²=2(p³-q³)/4(q²-p²)=(p-q)(p²+pq+q²)/2(q-p)(q+p)= -(p²+pq+q²)/2(q+p)

թ) 6a²-6b²/3a³+3b³=6(a²-b²)/3(a³+b³)=2(a-b)(a+b)/(a+b)(a²-ab+b²)=2(a-b)/(a²-ab+b²)

ժ) (x³-y³)(x+y)/x²-y²=(x-y)(x²+xy+y²)(x+y)/(x-y)(x+y)=x²+xy+y²

ա) 2/3 և 4/5=10+12/15=22/15=1 7/15

բ) 3/4 և 6/7=21+24/28=45/28=1 17/28

գ) 8/9 և 5/-9=8-5/9=3/9=1/3

դ) 4/5 և 3/-7=28-15/35=13/35

ե) 2/3 և 5/6=4+5/6=9/6=1 3/6

զ) 13/14 և 6/7=13+12/14=25/14=1 11/14

է) 7/9 և 5/-3= 7-15/9= -8/9

ը) 1/5 և 3/-10=2-3/10= -1/10

թ) 3/10 և 4/15=9+8/30=17/30

ժ) 5/12 և 1/16=20+3/48=23/48

ի) 8/14 և 5/-21=24-10/42=14/42=2/6

լ) 7/24 և 1/-18=21-4/72=17/72

Հայոց լեզու Տնային աշխատանք 11.12.2021

  1. Հարցական դերանունները փոխարինի´ր համապատասխան որոշիչ բառակապակցություններով:

Հեռագիրը`հեռվից եկած, բերել էին գիշերը:
Ծաղիկը` դեղին և բուրավետ, դաշտում կարծես միակն էր:
Աշունը շուկան լցրել է մրգերով` համեղ և հյութալի:
Նրա հիասթափությունը մատնում էին աչքերը`տխուր և վրդովված:
Մի ժպիտ` անկեղծ և մեղմ, թառել էր դեմքին:

2. Կետադրի՛ր:

Ընկերս՝ զվարթ ու կատակաբան, շուրջն էր հավաքել բոլոր հյուրերին:
Կանաչազարդ դաշտավայրը՝ ցողված վաղորդյան մարգարիտներով, վառվում էր ծիածանի ամենանուրբ գույներով:
 Այդ առավոտ տեսածս առաջին բանը մեր ծիրանենին էր՝ ծաղկազգեստ ու բուրող:
Մայրամուտին ծովը՝ շառագույն ու հանդարտ, հանկարծ ալեկոծվեց:

Բնութագրեք տարրերը ըստ հետևյալ սխեմայի:

Առաջինը՝ դիրքը պարբերական համակարգում
Երկրորդը՝ ատոմի բաղադրությունը
Երրորդը՝ էլեկտրոնային թաղանթի կառուցվածքը
Չորրորդը՝ էլեկտրոնային բանաձևը
Հինգը՝ բջջային կառուցվածքը

52 տարրը-Տելուր (Te)

Դիրքը՝ 5 պարբերություն, 6 խումբ, գլխավոր ենթախումբ

Ատոմի բաղադրությունը՝ 52 պրոտոն, 76 նեյտրոն, 52 էլեկտրոն

Էլեկտրոնային թաղանթի կառուցվածքը՝ 2, 8, 18, 18, 6

Էլեկտրոնային բանաձևը` 1s2, 2s2 2p6, 3s2, 3p6, 3d10, 4s2, 4p6, 4d10, 5s2, 5p4

Բջջային կառուցվածքը`

43 տարրը-Տեխնեցիում (Tc)

Դիրքը՝ 5 պարբերություն, 7 խումբ, երկրորդական ենթախումբ

Ատոմի բաղադրությունը՝ 43 պրոտոն, 55 նեյտրոն, 43 էլեկտրոն

Էլեկտրոնային թաղանթի կառուցվածքը՝ 2, 8, 18, 13, 2

Էլեկտրոնային բանաձևը` 1s2, 2s2 2p6, 3s2, 3p6, 3d10, 4s2, 4p6, 4d5, 5s2

Բջջային կառուցվածքը`

ՏՐԱՄԱԲԱՆԱԿԱՆ ԹԵՐԹԻԿ # 14 /ԱՊՐԻԼ/

Ոչ ստանդարտ խնդիրներ

Փորձեք լուծել բանավոր և հնարավորինս արագ.

• Վառվում է 10 մոմ: Դրանցից երեքը հանգցրին: Քանի՞սը մնաց:

0

• Վանդակում կա երեք ճագար: Ինչպե՞ս ճագարները բաժանել երեք ընկերների միջև այնպես, որ նրանցից յուրաքանչյուրն ստանա մեկ ճագար,

և մեկ ճագար էլ մնա վանդակում:

Պետք է ամեն ընկեր մեկ ճագար վերցնի, բայց մեկ ընկերը պետք է ճագարին վանդակի մեջ վերցնի։

• Իմ ձախ կողմի գրպանում այնքան դրամ կար, որքան՝ աջ գրպանում: Ես

ձախ գրպանից 100 դրամանոց մետաղադրամը տեղափոխեցի աջ

գրպանս: Դրանից հետո աջ գրպանում քանի՞ դրամ ավելի եղավ, քան

ձախ գրպանում:

100 դրամ ավելացավ

• Ի՞նչ նշան պետք է դնել 7-ի և 8-ի միջև, որպեսզի արդյունքում ստացված

թիվը մեծ լինի 7-ից և փոքր լինի 8-ից:

7 < 8

• Արմենը 5 տարեկան է, իսկ հայրիկը նրանից մեծ է 23 տարով: 5 տարի

հետո Արմենից քանի՞ տարով մեծ կլինի նրա հայրիկը:

23 տարով

• Տղան ունի այնքան քույրեր, որքան եղբայրներ, իսկ նրա քրոջ քույրերը

երկու անգամ քիչ են եղբայրներից: Քանի՞ եղբայր և քանի՞ քույր են այդ

ընտանիքում:

3 եղբայր, 2 քույր