
Պատ.՝ 103:

Պատ.՝ 2:

Պատ.՝ 90:

Պատ.՝ 10:

Պատ.՝ 12:

Պատ.՝ 4*5*3:

Պատ.՝ 103:

Պատ.՝ 2:

Պատ.՝ 90:

Պատ.՝ 10:

Պատ.՝ 12:

Պատ.՝ 4*5*3:
1. Գտնել ամենափոքր եռանիշ թիվը, որը թվանշանների գրառման մեջ ցանկացած տեղափոխության դեպքում չի փոխվի:
1) 999
2) 111
3) 100
4) 900
2. 2,15-ը մեծացնել 100 անգամ:
1) 21,5
2) 0,215
3) 215
4) 102,15
3. x -ի ո՞ր արժեքի դեպքում է 13 * x արտահայտության արժեքը պարզ թիվ:
1) 1
2) 2
3) 3
4) 4
4. Քանի՞ րոպե է 2 1/4 ժ-ը:
1) 215ր
2) 135ր
3) 265ր
4) 165ր
5. Ի՞նչ թվանշան պետք է գրված լինի * -ի փոխարեն, որպեսզի 15*6 քառանիշ թիվը բաժանվի 4-ի:
1) 2
2) 4
3) 5
4) 6
6. Դասարանի 25 աշակերտներից 15-ը աղջիկներ են: Աշակերտների քանի՞ տոկոսն են կազմում աղջիկները:
15/25 * 100 = 60%
1) 40 %
2) 500/3%
3) 60 %
4) 15/4%
7. Գտնել x թիվը, եթե {x + 1} ◡ {x + 2} = {2;3}
1) 0
2) 1
3) 2
4) 3
8. Գտնել -3x4 + 5x2 + 4x + 1 բազմանդամի ավագ անդամի գործակիցը:
1) 2
2) 5
3) 1
4) -3
9. Գտնել x2 — x — 2 քառակուսային եռանդամի արմատները:
D = 1 — 4 * (-2) = 9
x1 = 1 + 3/2 = 2
x2 = 1 — 3/2 = -1
1) {1; -2}
2) {-1; 2}
3) {-1; -2}
4) {1; 2}
10. 25x2 — 36 արտահայտությունը վերլուծել արտադրիչների:
1) (x + 6) (x — 6)
2) (x + 6) (x + 6)
3) (5x + 6) (5x — 6)
4) (5x + 6) (5x + 6)
11. Ո՞ր կետում է y = -3x + 2 ֆունկցիան հատում օրդինատների առանցքը:
1) (2;0)
2) (0; 1,5)
3) (0;2)
4) (1,5; 0)
——
12. Նետում են մեկ զառ: Գտնել այն պատահույթի հավանականությունը, որ կբացվի 5 թիվը:
1) 1/3
2) 1/5
3) 5/6
4) 1/6
(13-15) Հաշվել արտահայտության արժեքը:
13. (5/3 — 4/3) * 2 + |- 1|
1/3 * 2 + 1 = 2/3 + 1 = 1 2/3
1) 1
2) 1 2/3
3) 3
4) -1/3
14. (√3 — √5 — √3 + √5)2
1) 2
2) 2 + 2√5
3) -2
4) 2 — 2√5
15. a2 + 3/a3 + 1 + 1 — a/a2 — a + 1, եթե a = 1
1 + 3/1 + 1 + 1 — 1/1 — 1 + 1 = 2
1) 4
2) 2
3) 3
4) 1
(16-18) Հավասարումներ և անհավասարումներ
16. Գտնել 2x — 1 = 11 հավասարման արմատը:
1) 3
2) 5
3) 6
4) 2,5
17. Գտնել |2 — 4x| ≤ 6 անհավասարման լուծումների բազմությունը:
{2 — 4x ≤ 6
{2 — 4x ≥ -6
{-4 ≤ 6 — 2
{-4x ≥ -6 — 2
{-4 ≤ 4
{-4x ≥ -8
{-x ≤ 1
{x ≥ 2
{-x ≥ 1
{x ≤ 2
1) [-1; +∞]
2) ∅
3) (-∞, 2]
4) [ -1; 2]
(21-22) Երկու ավտոմեքենա միաժամանակ դուրս եկան A վայրից և մեկնեցին 420 կմ հեռավորության վրա գտնվող B վայրը: Առաջին ավտոմեքենան, ունենալով 10 կմ/ժ ավելի մեծ արագություն քան երկրորդը, B վայրը հասավ 1 ժամ շուտ:
21. Գտնել առաջին ավտոմեքենայի արագությունը:
Առաջին մեքենա — (x+10)կմ/ժ
Երկրորդ մեքենա — x կմ/ժ
S = 420
{420 = x * t
{420 = (x + 10)(t — 1)
x = 420/t
420 = (420/t + 10)(t — 1)
420 = 420 — 420/t + 10/t — 10
420/t — 10t/1 = -10
420 — 10t2 / t = -10/1
420 — 10t2 = -10t
10t2 — 10t — 420 = 0
t2 — t — 42 = 0
D = 1 + 168 = 169
t1 = 1 + 13 / 2 = 7
t2 = -1 — 13 / 2 = -6
t = 7ժ
(t — 1)ժ = 6ժ
x = 420/7 = 60կմ/ժ
70 * 5 = 350կմ/ժ
420 — 350 = 70
Պատ.՝ 70:
(23-24) Խորանարդի կողի երկարությունը 3 է:
23. Գտնել խորանարդի նիստի մակերեսը:
Պատ.` 9:
24. Գտնել խորանարդի ծավալը:
Պատ.` 27:
(27-29) Հավասարասրուն սեղանի բութ անկյունը 1350 է, իսկ այդ անկյան գագաթից տարված բարձրությունը մեծ հիմքը տրոհում է 1,4 և 3, 4 հատվածների:
27. Գտնել սեղանի մեծ հիմքի և սրունքի կազմած անկյան աստիճանային չափը:
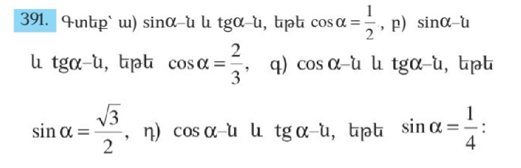
389, 390, 391

ա)

AC2 = AB2 — CB2 = 289 — 64 = 225
AC = √225 = 15
sinA = 8/17
cosA = 15/17
tgA = 8/15
sinB = 15/17
cosB = 8/17
tgB = 15/8
բ)

AB2 = AC2 + CB2 = 400 + 441 = 841
AB = √841 = 29
sinA = 21/29
cosA = 20/29
tgA = 21/20
sinB = 20/29
cosB = 21/29
tgB = 20/21
գ)

AB2 = AC2 + CB2 = 4 + 1 = 5
AB = √5
sinA = 1/√5 = √5/5
cosA = 2/√5 = √10/5
tgA = 1/2
sinB = 2/√5 = √10/5
cosB = 1/√5 = √5/5
tgB = 2/1
դ)

CB2 = AB2 — AC2 = 625 — 576 = 49
CB = √49 = 7
sinA = 7/25
cosA = 24/25
tgA = 7/24
sinB = 24/25
cosB = 7/25
tgB = 24/7

ա)

tg∝ = 1/2 = AC/BC
բ)

tg∝ = 3/4 = AC/BC
գ)
cos∝ = 0,2
դ) cos∝ = 2/3
ե) sin∝ = 1/2
զ) sin∝ = 0,4

ա)
բ
գ
դ
211 — 213, 217 — 218


P = 40
BC = x
AD = 4x
2y + 5x = 40
5x = 2y
2y + 2y = 40
4y = 40
y = 40/4 = 10
40 — (10 + 10) = 20
20 : 5 = 4
BC = 4
AD = 4x = 4 * 4 = 16

205 — 210


BC = c = 13
AB + AC = a + b = 17
r = 17 — 13 / 2 = 2


P = 36
BC = c = 15
AB = AC = 36 — 15 = 21
r = 21 — 15 / 2 = 3


<ABC = 80o
<AOC — ?
50 + <O = 180
<O = x + O + y = 180
2x + 80 + 2y = 180
2x + 2y = 100
2(x + y) = 100
x + y = 50


<C = 120o
AC = BC = a
<A = <B = 180 — 120 / 2 = 30o
<OCB = 120:2 = 60o
<OCB = <OBC = 60o
R = a
R = a * b * c / 4 * S
CH = a/2
AH2 = a2/1 — a2/4 = 4a2 — a2 / 4 = 3a2/4
AH = √3a2/4 = a√3/2
AB = a√3
S = a√3 * a/2 / 2 = a2√3/2 * 1/2 = a2√3/4
a2√3/4 * 4 = a2√3


AB = CD
BC = 2
AD = 8
P — ?
BC + AD = AB + CD = 10
P = 20

185, 187, 188, 190


<A = 60o
MO = NO = 5
<MAO = <NAO = 60 : 2 = 30o
<NOA = <MOA = 180 — (90 + 30) = 60o
Ըստ ուղղանկյուն եռանկյան հայտանիշի 30o-ի դիմաց ընկած կողմը հավասար է ներքնաձիգի կեսին, այսինքն՝
AO = MO * 2 = 10

ա)

<AMB = 136o
<A + <B + <C = 180o
2x + 2y + 2z = 180
x + y + z = 90
x + y + 136 = 180
x + y = 180 — 136 = 44o
44 + z = 90o
z = 90 — 44 = 46o
<ACM = <BCM = 46o
բ)

<AMB = 111o
<A + <B + <C = 180o
2x + 2y + 2z = 180
x + y + z = 90
x + y + 111 = 180
x + y = 180 — 111 = 69o
69 + z = 90o
z = 90 — 69 = 21o
<ACM = <BCM = 21o

ա)

AD — ?
CD — ?
BD = 5
AC = 8,5
BD = DC = 5
AD = AC — 5 = 8,5 — 5 = 3,5
բ)
AC — ?
BD = 11,4
AD = 3,2
BD = DC = 11,4
AC = 11,4 + 3,2 = 14,6


AB = BC = 18
AM = MB = 9
PAEC = 27
AE = BE
P = AC + AE + EC
BC = BE + EC
BC = AE + EC
AE = 18 — EC
27 = AC + 18 — EC + EC
AC = 27 — 18 = 9
185, 187, 188


MO = NO = HO = 5
<A = 60o
AO2 = AN2 + ON2 = AN2 + 25
AO2 = AH2 + HO2 = AH2 + 25
AN2 + 25 = AH2 + 25


ա) <AMB = 136o
<AMC1 = <C1MB = 136 : 2 = 68o
<C1MB = CMB1
<B1CM = 180 — (68 + 90) = 22o
<BCM = <ACM = 22o
բ) <AMB = 111o
<AMC1 = <C1MB = 111 : 2 = 55,5o
<C1MB = CMB1
<B1CM = 180 — (55,5 + 90) = 34,5o
<BCM = <ACM = 34,5o

169 — 175


AO = OB = 20
∪AB = <AOB = 120o
<MOB = <AOM = <AOB : 2 = 120 : 2 = 60o
<B = <A = 180 — (90 + 60) = 30o
Ըստ ուղղանկյուն եռանկյան հայտանիշի 30o-ի դիմաց ընկած կողմը հավասար է ներքնաձիգի կեսին, ուրեմն՝
MO = 20 : 2 = 10


<BAC = 70
∪AB = 120
∪CB = <CAB : 2 = 70 * 2 = 140
360 — (120 + 140) = 100o


7 + 2 = 9
180 : 9 = 20
7 * 20 = 140
2 * 20 = 40
<BAC = ∪CB : 2 = 40 : 2 = 20o


<DBA = ∪DA / 2 = 35o
<BDC = ∪BC / 2 = 27o
<BED = 180 — (35 + 27) = 118o
<BEC = 180 — 118 = 62o


<ACB = ∪AaB : 2 = 180 : 2 = 90o
Եռանկյուն OCB-ն հավասարակողմ է, այսինքն՝
OB = BC = OC
<COB = <CBO = <OCB = 180 : 3 = 60o
<ABC = 60o
<CAB = 180 — (<ACB + <ABC) = 180 — (90 + 60) = 30o


∪BD = 110o20′
∪BC = 180 — 110o20′ = 69o40′
69o40’/2 = 34o50′


AB || CD
<BCD = <ABC = x
∪BD = ∪AC = 2x
Առաջադրանքներ՝ 163 – 168


AB = 115
AC = 43
∪BC = 360 — (AB + AC) = 360 — (115 + 43) = 202
<BAC = ∪BC / 2 = 202/2 = 101

6 + 4 = 10
360 : 10 = 36
6 * 36 = 216
4 * 36 = 144

AaB = 144
AbB = 216


∪AMB = 360 — ∪AaB = 360 — 140 = 220
6 + 5 = 11
220 : 11 = 20
5 * 20 = 100
<BAM = ∪BM : 2 = 100 : 2 = 50




AO = OB
AB2 = AO2 + OB2 = 2AB2
576 = 2AO2
AO2 = 576 : 2 = 288
AO = √288 = √144 * 2 = 12√2
OM2 = AO2 — AM2 = 288 — 144 = 144
OM = √144 = 12
Առաջադրանքներ՝ 156, 157, 159, 160, 161

ա)

<AOB = 60o
բ)

<AOB = 90o
գ)

<AOB = 120o
դ)

<AOB = 180o

ա)

<AOB = 60o
AO = 16
<A + <B = 180 — <O = 180 — 60 = 120o
<A = <B = 120 : 2 = 60o
Քանի որ բոլոր կողմերը հավասար են, ուրեմն՝
AB = AO = 16
բ)

AB = AO + OB = 2AO = 16 * 2 = 32


∪AC = 57o
∪BD = 63o
AO = OB = CO = DO = 12
<COD = 180 — (AC + BD) = 180 — (57 + 63) = 60o
<C + <D = 180 — <COD = 180 — 60 = 120o
<C = <D = 120 : 2 = 60o
Բոլոր կողմերը հավասար են, այսինքն՝
CD = CO = 12

ա)

<ABC = ∪AC : 2 = 48 : 2 = 24o
բ)

<ABC = ∪AC : 2 = 57 : 2 = 28,5o
գ)

<ABC = ∪AC : 2 = 90 : 2 = 45o
դ)

<ABC = ∪AC : 2 = 124 : 2 = 62o
ե)

<ABC = ∪AC : 2 = 180 : 2 = 90o


x = (360 — (152 + 80)) / 2 = 128/2 = 64o

x = (360 — (125 + 30 * 2)) = 175o

x = (360 — (112 + 180)) / 2 = 68/2 = 34o

x = (360 — (215 + 20 * 2)) = 105o