
բ) (q+p)(p2-pq+q2)=q3+p3
դ) (2+x)(4-2x+x2)=8+x3
զ) (25-5m+m2)(5+m)=125+m3

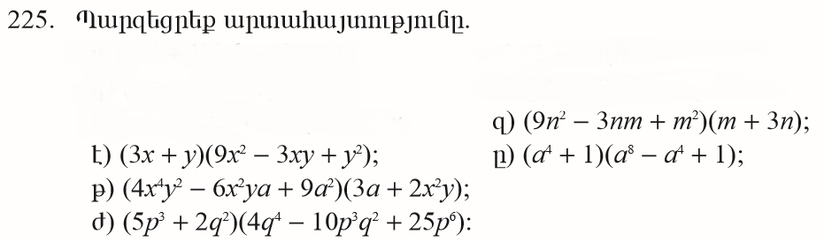
զ) (9n2-3nm+m2)(m+3n)=m3+27n3
է) (3x+y)(9x2-3xy+y2)=27x3+y3
ը) (a4+1)(a8-a4+1)=a12+1
թ) (4x4y2-6x2ya+9a2)(3a+2x2y)=27a3+8x6y3
ժ) (5p3+2q2)(4q4-10p3q2+25p6)=125p9+8q6

բ) (q+p)(p2-pq+q2)=q3+p3
դ) (2+x)(4-2x+x2)=8+x3
զ) (25-5m+m2)(5+m)=125+m3

զ) (9n2-3nm+m2)(m+3n)=m3+27n3
է) (3x+y)(9x2-3xy+y2)=27x3+y3
ը) (a4+1)(a8-a4+1)=a12+1
թ) (4x4y2-6x2ya+9a2)(3a+2x2y)=27a3+8x6y3
ժ) (5p3+2q2)(4q4-10p3q2+25p6)=125p9+8q6