Հանրահաշիվ Տնային աշխատանք

ա) (2a2b-10b3)-(4a2b-12b3)=2a2b-10b3-4a2b+12b3=-2a2b+2b3

բ) (3xy2+7x2y)-(2xy2-6x2y)=3xy2+7x2y-2xy2+6x2y=xy2+13x2y

գ) 12ab-30bc-3cx-(15bc+9cx)=12ab-30bc-3cx-15bc-9cx=12ab-45bc-12cx

դ) (10abc-8bcx-21cxy)-(-6abc+bcx-cxy)=10abc-8bcx-21cxy+6abc-bcx+cxy=16abc-9bcx-20cxy

ե) (0,6ab-0,5bc+cx)-(2,5bc-0,5ab-cx)=0,6ab-0,5bc+cx-2,5bc+0,5ab+cx=1,1ab-3bca+2cx

զ) (1/2x2y2-2/3ab-5/6a2b-1)-(a2b-1/3x2y2+1/12ab-1/4)=1/2x2y2-2/3ab-5/6a2b-1-a2b+1/3x2y2-1/12ab+1/4=5/6x2y2-9/12ab-11/6a2b-3/4

Հանրահաշիվ Դասարանական աշխատանք

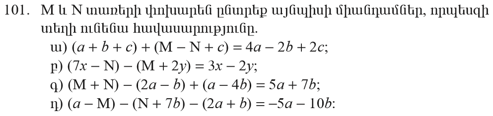
ա) (a+b+c)+(M-N+c)=4a-2b+2c=a+b+c+M-N+c=a+b+2c+3a+(-3b)=4a-2b+2c

բ) (7x-N)-(M+2y)=3x-2y=(7x-4x)-(0+2y)=7x-4x-0-2y=3x-2y

գ) (M+N)-(2a-b)+(a-4b)=5a+7b=M+N-2a+b+a-4b=6a+10b-2a+b+a-4b=6a+10b-a-3b=5a+7b

դ) (a-M)-(N+7b)-(2a+b)=-5a-10b=a-M-N-7b-2a-b=a-8b-M-N=a-8b-4a-2b=-5a-10b

ա) A+B+C=(a+b)+(3a-2b)+(a-7b)=a+b+3a-2b+a-7b=5a-8b

բ) A+B-C=(a+b)+(3a-2b)-(a-7b)=a+b+3a-2b-a+7b=3a+6b

գ)A-B-C=(a+b)-(3a-2b)-(a-7b)=a+b-3a+2b-a+7b=-3a+10b

դ) –A-B-C=-(a+b)-(3a-2b)-(a-7b)=-a-b-3a+2b-a+7b=-5a+8b

Հայոց լեզու, Գրականություն Տնային աշխատանք

Կընթերցես այն, ինչ դու ես ցանկանում: Ընթերցելուց հետո ստեղծագործությունը կարող ես ներկայացնել առաջարկված տարբերակներից մեկով.

  • Գրավոր վերլուծություն
    • Կպատմես ստեղծագործության ու հեղինակի մասին,
    • Կներկայացնես քեզ համար ամենասիրելի մտքերը,
    • Կառանձնացնես ստեղծագործության գլխավոր ու երկրորդական գաղափարները,
    • Եթե կան կերպարներ, կբնութագրես նաև նրանց,
    • Եթե ստացվի, կհամեմատես ծանոթ այլ ստեղծագործությունների հետ՝ գտնելով նմանություններն ու տարբերությունները:

Ստեղծագործության մասին

Այն ստեղծագործությունը, որը ես հիմա կարդում եմ շատ հետաքրքիր է և խորհրդավոր։ Նրա անունն է “Խորհրդավոր պարտեզը”։ Այս ստեղծագործության մեջ պատմվում է մի աղջկա մասին՝ Մերիի, որի երկրում՝ Հնդկաստանում Խոլերա հիվանդությունն էր հայտնվել և համարյա թե բոլորը վարակվել էին և մահացել։ Մերիի ընտանիքին էլ այդ հիվանդությունը կպավ և բացի նրանից մյուս բոլորը իր տանը մահացան։ Հետո նրան տարան մի տղամարդու՝ Արչիբալդ Քրեյվնի տուն, որը շատ խորհրդավոր էր։ Այդ տանը կար մոտավորապես հարյուր սենյակ և համարյա թե բոլորը կողպված։ Նաև այդ տունը ուներ պարտեզներ։ Որոնցից մեկը կողպված էր։ Քրեյվնը ուներ կին, որը այդ պարտեզնեզներից մեկը շատ էր սիրում՝ դա նրա պարտեզն էր և մի օր նա նստեց պարտեզում գտնվող ճյուղին, այդ ճյուղը կոտրվեց, նա ընկավ և մահացավ։ Դա եղել էր տաս տարի առաջ և այդ պատահարից հետո Արչիբալդ Քրեյվնը այդ պարտեզի դուռը կողպեց և բանալին թաքցրեց հողի տակ։

Այդ տանը աշխատում էր մի ծառա։ Անունը՝ Մարթա և նա Մերիին օգնում էր այդտեղ հետաքրքիր ապրել իր պատմություններով և խորհուրդներով։ Մերին այդքանել սիրուն երեխա չէր։ Նրա մաշկը դեղնոտ էր, գեշ դեմք ուներ և շատ եսասեր էր։ Դրա պատճառով նրան քիչ էին սիրում, բայց Մարթայի օգնությամբ նա դարձավ ավելի սիրուն և հետաքրքրասեր։ Նա այդտեղ ծանոթացավ մի սիրուն շիկահավի հետ։ Շիկահավը Մերիին շատ օգնեց գտնել այդ թաքցրած բանալին և գտնել խորհրդավոր պարտեզ տանող դուռը։ Այդպես Մերին որոշեց այդ պարտեզը խնամել և այն նորից կենդանացնել։

Ֆրենսիս Հոջսոն Բրնեթ «Խորհրդավոր պարտեզը» Zangak գինը 5,700 դրամ

Ես այդքան մասն եմ դեռ կարդացել և շատ հետաքրքիր է այն կարդալ։

Հեղինակի մասին

Ստեղծագործության հեղինակն է Ֆրենսիս Հոջսոն Բրնեթ։ Նա եղել է անգլիացի գրող և դրամատուրգ։ Ծնվել է նոյեմբերի 24-ին, 1849 թվականին, Մանչեսթեր, Լանկաշիր, Անգլիա, Մեծ Բրիտանիայի և Իռլանդիայի միացյալ թագավորություններում։ Ֆրենսիս Հոջսոն Բրնեթը մահացել է հոկտեմբերի 29-ին, 1924 թվականին, Նասաու շրջան, Նյու Յորք, ԱՄՆ-ում։ Այն ստեղծագործությունը, որը ես հիմա կարդում եմ՝ կոչվում է “Խորհրդավոր պարտեզը”։ Այս ստեղծագործությունը նա գրել է 1909 թվականում։

Ֆրենսիս Էլիզա Բարնեթ - Վիքիպեդիա՝ ազատ հանրագիտարան
  • Տեսանյութով վերլուծություն (վերևում ներկայացվածի բանավոր տարբերակը):

Պատումներ

Կգրես քո շաբաթվա մասին ու գրառումդ կզարդարես քո կողմից արված աշնանային լուսանկարներով:

Այս շաբաթը տարբերվում էր ուրիշներից։ Ես և ընկերուհիներս ալիք ենք սարքել և համարյա թե ամեն օր նկարում ենք տեսանյութեր։ Նաև այս շաբաթ՝ ես, իմ ընկերուհիներս և երկու տղա մաքրեցինք մեր բակի հողի փոքր տարածքներից մեկը։ Այն շատ կեղտոտ էր և պատված էր չորացած խոտով, բայց միասին մենք մաքրեցինք այդ տեղը և հիմա հանգիստ կարող ենք այդտեղ խաղալ։

Ես իմ ընկերուհիների հետ շատ եմ ման գալիս և այս շաբաթ նույնպես շատ ման էինք գալիս և խաղում։