- Ընթերցում ենք տեքստը:
- Առանձնացնում տեքստում հանդիպած գոյականները:
- Յուրաքանչյուր գոյականի դիմաց նշում ենք տեսակները, թիվը, հոլովը, հոլովումը:
- Օրինակ՝ ընկեր-անձնանիշ, շնչավոր, հասարակ, նյութական, եզակի թիվ, ուղղական հոլով, -ոջ հոլովման (հոլովումը գտնելու համար բառը դարձնում ենք սեռական հոլովի):
Ա) Երկու ընկեր անապատով գնում էին:
Ընկերներից մեկը ծարավից թուլացավ, ընկավ: Իսկ մյուսը, որի մոտ ջուր կար, ոչ օգնեց
ընկերոջը, ոչ էլ նույնիսկ ջուր տվեց: Թողեց, հեռացավ: Աղետյալը վերջին շնչում ընկած
մնաց:
Բարեբախտաբար եկավ մի քարավան, հասավ այդտեղ: Մարդիկ կիսամեռ տղային գտան,
ջուր տվեցին ու նրան ուշքի բերեցին:
Տղան, նորից առույգացած, շարունակեց ճամփան:
Գնա՜ց, գնա՜ց, հասավ ընկերոջը: Բան չասաց, լուռումունջ շարունակեց ճամփան:
Երբ լեռնոտ մի կածանով էին անցնում, ջուր չտվող ընկերը սայթաքեց, ընկավ ու
չկարողացավ ոտքի կանգնել: Ոտքը կոտրվել էր:
Ընկերը նրան շալակն առավ, մեծ դժվարությամբ տարավ հայրենի քաղաքը, հասցրեց տուն՝
կնոջ մոտ: Ու հրաժեշտ տվեց.
-Է՜հ, մնաս բարով, եղբա՛յր: Քանի կանք, դու մարդկանց քո ջրից պատմիր, ես՝ իմ շալակից:
Բ) Հնագիտական պեղումներից պարզվել է, որ մոտ վեց հազար տարի առաջ էլ աղավնիները
ծառայել են Ֆրանսիայի տարածքում բնակվող եվրոպացիներին:
Գիտնականները փորձերով պարզել են, որ աղավնիներն օժտված են հիանալի
հիշողությամբ:
Լարվածությունը թուլացնելու ամենահեշտ միջոցը հյուսելն է, որի ժամանակ մարդ
կենտրոնանում է թելի ու նախշի վրա՝ կամաց-կամաց կտրվելով իրեն անհանգստացող
մտքից: Ամերիկյան մի համալսարանի հոգեբանները պարզել են, որ մարդու
ստորագրության չափն արտահայտում է նրա հոգեկան վիճակը:
ընկեր-անձնանիշ, շնչավոր, հասարակ, նյութական, եզակի թիվ, ուղղական հոլով, -ոջ հոլովման
անապատով-իրանիշ, անշունչ, հասարակ, նյութական, եզակի թիվ, գործիական հոլով, -ի հոլովման
ընկերներից-անձնանիշ, շնչավոր, հասարակ, նյութական, հոգնակի թիվ, բացառական հոլով, -ի հոլովման
ծարավից-իրանիշ, անշունչ, հասարակ, վերացական, եզակի թիվ, բացառական հոլով, -ի հոլովման
ջուր-իրանիշ, անշունչ, հասարակ, նյութական, եզակի թիվ, ուղղական հոլով, -ի հոլովման
ընկերոջը-անձնանիշ, շնչավոր, հասարակ, նյութական, եզակի թիվ, տրական հոլով, -ոջ հոլովման
Աղետյալը-անձնանիշ, շնչավոր, հասարակ, նյութական, եզակի թիվ, ուղղական հոլով, -ի հոլովման
շնչում-իրանիշ, անշունչ, հասարակ, վերացական, եզակի թիվ, ներգոյական հոլով, -ի հոլովման
քարավան-անձնանիշ, շնչավոր, հասարակ, նյութական, եզակի թիվ, ուղղական հոլով, -ի հոլովման
Մարդիկ-անձնանիշ, շնչավոր, հասարակ, նյութական, հոգնակի թիվ, ուղղական հոլով, -անց հոլովման
տղային-անձնանիշ, շնչավոր, հասարակ, նյութական, եզակի թիվ, տրական հոլով, -ի հոլովման
նրան-անձնանիշ, շնչավոր, հասարակ, նյութական, եզակի թիվ, տրական հոլով, -ց հոլովման
Տղան-անձնանիշ, շնչավոր, հասարակ, նյութական, եզակի թիվ, ուղղական հոլով, -ի հոլովման
ճամփան-իրանիշ, անշունչ, հասարակ, նյութական, եզակի թիվ, հայցական հոլով, -ի հոլովման
կածանով-իրանիշ, անշունչ, հասարակ, նյութական, եզակի թիվ, գործիական հոլով, -ի հոլովման
ընկերը-անձնանիշ, շնչավոր, հասարակ, նյութական, եզակի թիվ, ուղղական հոլով, -ոջ հոլովման
ոտքի-իրանիշ, անշունչ, հասարակ, նյութական, եզակի թիվ, սեռական հոլով, -ի հոլովման
Ոտքը-իրանիշ, անշունչ, հասարակ, նյութական, եզակի թիվ, ուղղական հոլով, -ի հոլովման
շալակն-իրանիշ, անշունչ, հասարակ, նյութական, եզակի թիվ, հայցական հոլով, -ի հոլովման
դժվարությամբ-իրանիշ, անշունչ, հասարակ, նյութական, եզակի թիվ, գործիական հոլով, -ն հոլովման
քաղաքը-իրանիշ, անշունչ, հասարակ, նյութական, եզակի թիվ, ուղղական հոլով, -ի հոլովման
տուն-իրանիշ, անշունչ, հասարակ, նյութական, եզակի թիվ, ուղղական հոլով, -ա հոլովման
կնոջ-անձնանիշ, շնչավոր, հասարակ, նյութական, եզակի թիվ, սեռական հոլով, -ոջ հոլովման
եղբա՛յր-անձնանիշ, շնչավոր, հասարակ, նյութական, եզակի թիվ, ուղղական հոլով, -որ հոլովման
մարդկանց-անձնանիշ, շնչավոր, հասարակ, նյութական, հոգնակի թիվ, սեռական հոլով, -անց հոլովման
ջրից-իրանիշ, անշունչ, հասարակ, նյութական, բացառական հոլով, -ի հոլովման
ես-անձնանիշ, շնչավոր, հասարակ, նյութական, ուղղական հոլով, -ինձ հոլովման
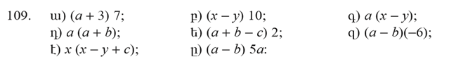
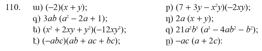
շալակից-իրանիշ, անշունչ, հասարակ, նյութական, բացառական հոլով, -ի հոլովման




























