Daily Archives: 14.12.2020
Գրականություն Տնային աշխատանք
- Պատրաստում ենք Բարդ Բիդլի հեքիաթների աուդիոգրքային տարբերակը: Ընտրիր հեքիաթներից մեկն ու ընթերցիր պատկերազարդ տեսանյութով (եթե կան նախորդ տարվա ընթացքում արված նման աշխատանքներ, կուղարկեք հղումները):
- Ընտրում ենք և աշխատում:
- Փոթերյան առաջադրանքների փաթեթ: Աշխատանքներ վիպաշարին ծանոթ սովորողների համար
Ինչ գերբնական կարողություն կցանկանայի ունենալ
Ես կցանկանայի ունենալ թռչելու, տեղաշարժվելու, ջրի տակ շնչելու և արագության կարողություններ։ Թռչելով շատ հետաքրքիր է նայել քաղաքին վերևից։ Տեղաշարժվելով կարելի է առանց գումար ծախսելու ճանապարհորդել։ Ջրի տակ շնչելով կարելի է լողալ և հետևել ջրային կենդանիներին։ Արագությունը, որ բոլորից արագ լինեմ։
Զանգված։ Զանգվածի միավորները։ Գործիքները։ Զանգվածի կշռման կանոնները։
Զանգվածը մարմնի ինետրության քանակական չափն է։
Զանգվածի հիմնական միավորը ընտրվել է պլատինի և իրիդումի համաձլուվածքից պատրաստված գլանաձև չափանմուշի զանգվածը։ Այն պահվում է Փարիզի մերձակա Սևր քաղաքում չափերի և կշիռների միջազգային բյուրոյում։
Զանգվածը սկալյար մեծություն է, այսինքն բնորոշվում է միայն թվային արժեքով և չափման միավորով
Չափման գործիքներն են՝ կշեռքները և կշռաքարերի հավաքածուները։
English “A Christmas Legend Christmas Story”
A Christmas Legend Christmas Story
| It was Christmas Eve. The night was very dark and the snow falling fast, as Hermann, the charcoal-burner, drew his cloak tighter around him, and the wind whistled fiercely through the trees of the Black Forest. He had been to carry a load to a castle near, and was now hastening home to his little hut. Although he worked very hard, he was poor, gaining barely enough for the wants of his wife and his four little children. He was thinking of them, when he heard a faint wailing. Guided by the sound, he groped about and found a little child, scantily clothed, shivering and sobbing by itself in the snow. “Why, little one, have they left thee here all alone to face this cruel blast?” The child answered nothing, but looked piteously up in the charcoal-burner’s face. “Well, I cannot leave thee here. Thou would’st be dead before the morning.” So saying, Hermann raised it in his arms, wrapping it in his cloak and warming its little cold hands in his bosom. When he arrived at his hut, he put down the child and tapped at the door, which was immediately thrown open, and the children rushed to meet him. “Here, wife, is a guest to our Christmas Eve supper,” said he, leading in the little one, who held timidly to his finger with its tiny hand. “And welcome he is,” said the wife. “Now let him come and warm himself by the fire.” The children all pressed round to welcome and gaze at the little new-comer. They showed him their pretty fir-tree, decorated with bright, colored lamps in honor of Christmas Eve, which the good mother had endeavored to make a fête for the children. Then they sat down to supper, each child contributing of its portion for the guest, looking with admiration at its clear, blue eyes and golden hair, which shone so as to shed a brighter light in the little room; and as they gazed, it grew into a sort of halo round his head, and his eyes beamed with a heavenly luster. Soon two white wings appeared at his shoulders, and he seemed to grow larger and larger, and then the beautiful vision vanished, spreading out his hands as in benediction over them. Hermann and his wife fell on their knees, exclaiming, in awe-struck voices: “The holy Christ-child!” and then embraced their wondering children in joy and thankfulness that they had entertained the Heavenly Guest. The next morning, as Hermann passed by the place where he had found the fair child, he saw a cluster of lovely white flowers, with dark green leaves, looking as though the snow itself had blossomed. Hermann plucked some, and carried them reverently home to his wife and children, who treasured the fair blossoms and tended them carefully in remembrance of that wonderful Christmas Eve, calling them Chrysanthemums; and every year, as the time came round, they put aside a portion of their feast and gave it to some poor little child, according to the words of the Christ: “Inasmuch as ye have done it unto one of the least of these my brethren, ye have done it unto me.” |
Հանրահաշիվ Դասարանական աշխատանք



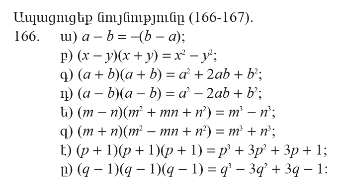
ա) a-b=-(b-a)
a-b=b+a Նույնը չեն
բ) (x-y)(x+y)=x2-y2
x2+xy-yx+y2=x2+y2 Նույնը չեն
գ) (a+b)(a+b)=a2+2ab+b2
(a+b)(a+b)=a2+ab+ba+b2=a2+2ab+b2 Նույնն են
դ) (a−b)(a−b)=a2−2ab+b2
(a−b)(a−b)=a2-ab-ba+b2=a2-2ab+b2 Նույնն են
ե) (m−n)(m2+mn+n2)=m3−n3
(m−n)(m2+mn+n2)=m3+m2n+mn2-m2n-mn2+n3=m3+n3 Նույնը չեն
զ) (m+n)(m2−mn+n2)=m3+n3
(m+n)(m2−mn+n2)=m3-m2n+mn2+nm2-mn2+n3=m3+n3 Նույնն են
է) (p+1)(p+1)(p+1)=p3+3p2+3p+1
(p+1)(p+1)(p+1)=(p+1)(p2+p+p+1)=(p+1)(p2+2p+1)=p3+2p2+p+p2+2p+1 Նույնը չեն
Հայոց լեզու Դասարանական աշխատանք
Կատարում ենք առաջադրանքները:
- Փորձի՛ր պատասխանել:
- ա) ով ե՛րբ է ասում «ես»,
- բ) ով ո՛ւմ է ասում «դու»,
- գ) ո՛ւմ մասին է ասում «նա»:
- Հոլովման աղյուսակում գրի՛ր տրված դերաննուների համապատասխան ձևերը և պատասխանի՛ր հարցերին:
- Ես, դու, նա, ինքը, մենք, դուք, նրանք, ո՞վ:
- Ուղղական (ո՞վ)-Ես, դու, նա, ինքը, մենք, դուք, նրանք, ո՞վ
- Սեռական (ո՞ւմ)-ինձ, քեզ, նրա, իր, մեր, ձեր, նրանց, ու՞մ
- Տրական (ո՞ւմ)-ինձ, քո, նրա, իր, մեր, ձեր, նրանց, ու՞մ
- Հայցական (ո՞ւմ)-իմ, քո, նրա, իր, մեր, ձեր, նրանց, ո՞վ
- Բացառական(ումի՞ց)-ինձնից, քեզնից, նրանից, իրենից, միզնից, ձեզնից, նրանցից, ումի՞ց
- Գործիական (ումո՞վ)-ինձնով, քեզնով, նրանով, իրենով, մեզնով, ձեզնով, նրանով, ումո՞վ
- Ներգոյական (ո՞ւմ մեջ)- իմ մեջ, քո մեջ, նրա մեջ, իր մեջ, մեր մեջ, ձեր մեջ, նրանց մեջ, ու՞մ մեջ
- Ես, դու, նա, ինքը, մենք, դուք, նրանք, ո՞վ:
- Ո՞ր դերանունների սեռական և տրական հոլովներն են համընկնում:
- Դերանուններից որո՞նց հոլովներն են նմանվում գոյականի համապատասխան ձևերին:
- Ընդգծված գոյականները և հարցական դերանունները փոխարինի՛ր ես, դու, մենք, դուք դերանունների համապատասխան ձևերով :
- Եղբոր խաղալիքն էր ջարդել:
- Ընկերոջ ճառելն առաջին անգամ էր տեսնում:
- Հանուն ընկերոջ ամբողջ ամառը մնաց շոգ քաղաքում:
- Ո՞ւմ պարտեզն է օր օրի կանաչում ու գեղեցկանում:
- Հանձնաժողովն ո՞ւմ տվեց մրցանակը:
- Քո խաղալիքն էր ջարդել:
- Քո ճառելն առաջին անգամ էր տեսնում:
- Հանուն քեզ ամբողջ ամառը մնաց շոգ քաղաքում:
- Ձեր պարտեզն է օր օրի կանաչում ու գեղեցկանում:
- Հանձնաժողովն քեզ տվեց մրցանակը: